Foram encontradas 37 questões.
Provas
Como é e para que serve prioritariamente uma xícara todos sabemos: Servir bebidas, especialmente quentes. Mas de onde surgiu a ideia de criar um "copo com alça"?
O chá, que tem origem oriental, era inicialmente servido em potes redondos, sem alças. Segundo a tradição, isso era até mesmo um alerta para quem conduzia a cerimônia da bebida: Caso o recipiente queimasse as pontas dos dedos, estava quente demais para ser ingerido. Na temperatura ideal, ela não incomodava, mesmo com o contato direto com a porcelana.
Fonte: http://www.mexidodeideias.com.br/viagem/a-historia-da-xicara. Acesso em 06/01/2018.
Uma xícara de chá tem a forma de um tronco de cone reto, conforme a figura abaixo. Qual o volume máximo, aproximado, de líquido que ela pode conter?

Provas
A figura seguinte é um recipiente cilíndrico reto, e contém água até a metade de sua altura. Uma esfera maciça, colocada no seu interior, fica totalmente submersa, elevando a altura da água em 2 cm. Qual o volume dessa esfera?

Provas
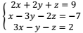
O sistema linear 
Provas
Chama-se autovalor de uma matriz A ao número real x tal que a matriz (A – xI) não tem inversa, onde I é a matriz
identidade. Qual a soma dos autovalores da matriz
?
Provas
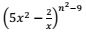
A soma dos coeficientes de
é 2187. Qual o termo independente de x nesse desenvolvimento?
Provas

Provas
O diâmetro da circunferência inscrita no hexágono regular abaixo é igual a 10√3 cm. Qual a área desse hexágono?

Provas
Qual a medida do segmento DE, indicado na figura abaixo, sabendo que o segmento CD = 4√3 cm?

Provas
TEXTO 01 (Leia o texto para responder às questões que seguem).
DIPLOMACIA FAMILIAR
Precisamos acalmar os ânimos com os parentes
A vida em família é, na maioria das vezes, a nossa sustentação. A família aconchega, acolhe, defende, oferece segurança, é nossa fortaleza. Há momentos harmoniosos de convivência que melhoram a nossa qualidade de vida! (...) É o único grupo ao qual pertencemos a vida toda. É uma panelinha amorosa!
Mas, como tudo, a vida em família tem o seu outro lado: não é – e nunca foi – fácil viver em família. Dentro das quatro paredes, os conflitos, as cobranças, as pressões e as expectativas frustradas, (...) vêm à tona.
Normal! Afinal, como são os afetos que regem a vida do grupo familiar, não tinha como ser diferente, porque eles sempre andam aos pares, com seus opostos. É por isso que, onde há amor, há ódio, também. Só não há indiferença, porque, aí, não há afeto.
Entreveros familiares sempre existiram e existirão, mas, na atualidade, os laços familiares andam frágeis, porque qualquer motivo à toa já basta para que surjam picuinhas, hostilidades, distanciamento, raiva, mágoa etc. Será que estamos a assumir que, de fato, ―parente é serpente‖?
Uma bronca de um tio no sobrinho é motivo para que os irmãos se desentendam; passar um dia com os netos já pode suscitar fofocas maldosas a respeito dos avós; um presente dado a uma sobrinha provoca ciúme de outra irmã, e assim por diante.
Por que esses pequenos acontecimentos do cotidiano, antes relevados, agora despertam emoções tão intensas nos integrantes do grupo familiar? Temos algumas pistas.
O modo individualista de viver e a busca da felicidade pessoal e permanente, valores sociais que adotamos faz tempo, têm grande parcela de responsabilidade nessa questão. "Eu preciso pensar em mim", "devo pôr para fora tudo o que me atormenta", "por que as pessoas agem de modo tão diferente do que deveriam?" são alguns exemplos de pensamentos que existem em nós, muitas vezes à nossa revelia, e que mostram o quanto os valores citados interferem em nossa vida pessoal. (...).
Precisamos acalmar os ânimos com os parentes, relevar as pequenas adversidades que eles nos provocam, sem querer ou intencionalmente, respeitar as diferenças existentes, perdoar os seus defeitos e lembrar, sempre, dos benefícios que pertencer a uma família nos traz e que hoje estão em risco. Senão, logo teremos mais um curso de graduação disponível no já concorrido mercado universitário: "diplomacia familiar". Somos capazes de dar conta disso, não somos?
(Revista Veja, Editora Abril, edição 2.542, ano 50, nº 32, 9 de agosto de 2017, p. 89. Por Rosely Sayão).
Provas
Caderno Container