Magna Concursos

Foram encontradas 80 questões.

1146971 Ano: 2018
Disciplina: Matemática
Banca: UECE
Orgão: SEDUC-CE
Provas:
Seja UYZ um triângulo isósceles não obtusângulo, UY = YZ. A partir de um ponto W no do YZ traça-se uma perpendicular a este lado que intercepta o lado UY no ponto E. Se EU = EW, então, a medida do ângulo WÛZ, em graus, é igual a
 

Provas

Questão presente nas seguintes provas
1146970 Ano: 2018
Disciplina: Matemática
Banca: UECE
Orgão: SEDUC-CE
Provas:
O perímetro de um retângulo cuja medida da área é 125 m2 e cuja razão entre os lados é 4/5, dado em metros, é igual a
 

Provas

Questão presente nas seguintes provas
1146969 Ano: 2018
Disciplina: Matemática
Banca: UECE
Orgão: SEDUC-CE
Provas:
Um grupo de estudantes do Colégio DELTA recebe forte estímulo para a participação, no final do ano letivo de 2018, em diversas Olimpíadas intelectuais. Há uma previsão de que 44 estudantes participem da Olimpíada de Matemática, 38 na de Física e 26 em ambas. Por outro lado, do grupo, os demais 14 estudantes participarão de outras Olimpíadas. Uma vez confirmada a participação dos estudantes nas olimpíadas em foco, é correto afirmar que a probabilidade de estudantes do grupo participarem de apenas uma das olimpíadas de Matemática ou Física é
 

Provas

Questão presente nas seguintes provas
1146968 Ano: 2018
Disciplina: Matemática
Banca: UECE
Orgão: SEDUC-CE
Provas:

ATENÇÃO!

• A questão versa sobre geometria euclidiana plana e espacial, e estão baseadas nas seguintes informações e condições:

(i) Três esferas sólidas repousam sobre um plano horizontal;

(ii) A esfera menor tem centro no ponto C1, é tangente ao plano no ponto P1 e a medida de seu raio é igual a 1 cm;

(iii) A esfera maior tem centro no ponto C3, é tangente ao plano no ponto P3 e a medida de seu raio é igual a 3 cm;

(iv) A terceira esfera tem centro no ponto C2, é tangente ao plano no ponto P2, e a medida de seu raio é igual a 2 cm;

(v) Cada esfera é tangente externamente às outras duas.

A área, em cm2, da região limitada pelo trapézio com vértices nos pontos P1, C1, C2 e P2 é igual a
 

Provas

Questão presente nas seguintes provas
1146967 Ano: 2018
Disciplina: Matemática
Banca: UECE
Orgão: SEDUC-CE
Provas:

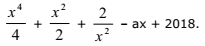
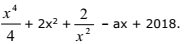
Uma função real de variável real f, cuja derivada (em relação a x) é igual a x3 + 2x + 1/x – a, onde a é uma constante real, pode ser f(x) =

Lnz = logaritmo natural de z

 

Provas

Questão presente nas seguintes provas
1146966 Ano: 2018
Disciplina: Matemática
Banca: UECE
Orgão: SEDUC-CE
Provas:
Dentre todos os números reais positivos, aquele que somado com o dobro do seu inverso multiplicativo resulta no menor valor possível é
 

Provas

Questão presente nas seguintes provas
1146965 Ano: 2018
Disciplina: Matemática
Banca: UECE
Orgão: SEDUC-CE
Provas:
Seja XYZW um paralelogramo tal que a bissetriz do ângulo interno X intercepta o lado ZW no ponto E, entre Z e W. Se a medida do lado XY é igual a 6 m e se a área do trapézio XYZE é igual a cinco vezes a área do triângulo XWE, então, a medida do lado YZ do paralelogramo, em metros, é igual a
 

Provas

Questão presente nas seguintes provas
1146964 Ano: 2018
Disciplina: Matemática
Banca: UECE
Orgão: SEDUC-CE
Provas:

ATENÇÃO!

• A questão versa sobre geometria euclidiana plana e espacial, e estão baseadas nas seguintes informações e condições:

(i) Três esferas sólidas repousam sobre um plano horizontal;

(ii) A esfera menor tem centro no ponto C1, é tangente ao plano no ponto P1 e a medida de seu raio é igual a 1 cm;

(iii) A esfera maior tem centro no ponto C3, é tangente ao plano no ponto P3 e a medida de seu raio é igual a 3 cm;

(iv) A terceira esfera tem centro no ponto C2, é tangente ao plano no ponto P2, e a medida de seu raio é igual a 2 cm;

(v) Cada esfera é tangente externamente às outras duas.

O perímetro do triângulo com vértices nos pontos P1, P2 e P3, em cm, é igual a
 

Provas

Questão presente nas seguintes provas
1146963 Ano: 2018
Disciplina: Matemática
Banca: UECE
Orgão: SEDUC-CE
Provas:

ATENÇÃO!

• A questão versa sobre matrizes, determinantes e sistemas lineares.

• A matriz enunciado 1146963-1 , considerada nas questões, é particularmente curiosa, porque, ao considerarmos o produto Mn = M.M.M..... .M (n fatores), observa-se a geração da sequência de Fibonacci.

Para todo número inteiro positivo n, a soma das matrizes Mn e Mn+1 é igual a matriz
 

Provas

Questão presente nas seguintes provas
1146962 Ano: 2018
Disciplina: Matemática
Banca: UECE
Orgão: SEDUC-CE
Provas:

ATENÇÃO!

• A questão versa sobre matrizes, determinantes e sistemas lineares.

• A matriz enunciado 1146962-1 , considerada nas questões, é particularmente curiosa, porque, ao considerarmos o produto Mn = M.M.M..... .M (n fatores), observa-se a geração da sequência de Fibonacci.

Se P é uma matriz 2x2 tal que enunciado 1146962-2 , então, o determinante da matriz P é igual a

 

Provas

Questão presente nas seguintes provas