Foram encontradas 1.130 questões.
O profissional, secretário escolar, é responsável por funções indispensáveis na gestão educacional e administrativa da instituição. São atribuições do cargo do secretário escolar, EXCETO:
Provas
O ano de 2020 estimulou significativas mudanças nos hábitos digitais das pessoas em todo o mundo. Com a pandemia de Covid-19, várias instituições se readequaram ao cenário, utilizando-se de ferramentas tecnológicas para fazer suas reuniões e apresentações. Tanto as reuniões em home office, ou presenciais, devem ser tratadas com o profissionalismo necessário. Considerando o exposto acima, um ponto que precisa ser observado, seja na reunião online, seja na presencial é:
Provas
É um fenômeno gerado pela necessidade da dinâmica do capitalismo em formar uma aldeia global que permita maiores mercados para os países centrais (desenvolvidos), cujos mercados já estão saturados. Esta é a definição de:
Provas
Os ácidos podem ser classificados de diversas formas. Uma delas é se, no mesmo, existe ou não a presença de oxigênio. Os ácidos que não possuem oxigênio em sua composição são conhecidos como:
Provas
Os compostos I e II, mostrados abaixo, são isômeros de:

Provas
Aminas são substâncias orgânicas que apresentam um ou mais radicais ligados ao Nitrogênio e são muito utilizadas na produção de outros compostos orgânicos. Aminas são compostos orgânicos nitrogenados que derivam da substância amônia (NH3) pela substituição de um ou mais hidrogênios por radicais orgânicos. São exemplos de compostos orgânicos nitrogenados:

Sobre os compostos orgânicos nitrogenados acima, pode-se afirmar CORRETAMENTE que:
Provas
Os compostos, mostrados abaixo, pertencem a classe dos álcoois:

As nomenclaturas para os compostos I e II, respectivamente, segundo a IUPAC, são:
Provas
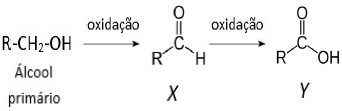
O produto obtido pela oxidação de um álcool depende da estrutura do álcool. A oxidação de um álcool primário ocorre em duas etapas. Ele é inicialmente oxidado a um composto X, e então, numa segunda etapa, a um composto Y, como mostrado na equação abaixo:

Os produtos X e Y obtidos pela oxidação do álcool acima, respectivamente, são
Provas
Geralmente, os compostos carbonilados são classificados em subcategorias. Esta classificação é feita com base nos grupos ligados ao carbono da carbonila. São exemplos de compostos carbonilados.

Os compostos I, II e III acima apresentam, respectivamente, os grupos funcionais:
Provas
Para descrever as ligações no metano e em outras moléculas, Linus Pauling propôs a teoria da hibridização dos orbitais. Ele propôs que orbitais atômicos s, p e/ou d de um determinado átomo pudessem se misturar para criar um novo conjunto de orbitais, denominado orbitais híbridos. No caso do metano, CH4, cada ligação C-H é formada então pela superposição de um orbital híbrido do carbono com um orbital 1s do hidrogênio. Cada um dos orbitais híbridos do carbono é denominado:
(Dados: 1H1; 6C12)
Provas
Caderno Container