Foram encontradas 503 questões.
Provas
Provas
Provas
Provas
Provas
- Química InorgânicaSoluções e Substâncias InorgânicasSoluções: características, tipos de concentração, diluição, mistura, titulação e soluções coloidais
Provas
- FundamentosPropriedades das Substâncias
- Química InorgânicaGeometria Molecular, Polaridade e Forças Intermoleculares
Considere as seguintes geometrias moleculares.

As substâncias metano, CH4, água, H2O, fosgênio, COCℓ2, e amônia, NH3, possuem, respectivamente, as geometrias moleculares
Provas
Considere a estrutura abaixo típica de um sabão.

A interação da água com o sabão ocorre na parte
Provas
- Química OrgânicaReações OrgânicasReações Orgânicas: Substituição, Adição e Eliminação
- Química OrgânicaReações OrgânicasReações Orgânicas: Oxidação, Redução e Polimerização
- Transformações Químicas e EnergiaEletroquímica
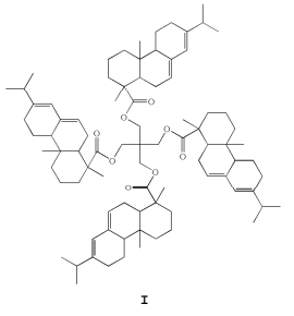
Atenção: Considere as informações abaixo para responder a questão.
Breu (ácido abiético, fórmula molecular C19H29COOH) e pentaeritritol (2,2-Bis (hidroximetil)1,3-propanodiol; fórmula molecular C5H12O4) reagem, eliminando água, para formar o composto I, muito utilizado na indústria de tintas e de borracha.

Provas
- Química OrgânicaReações OrgânicasReações Orgânicas: Substituição, Adição e Eliminação
- Química OrgânicaReações OrgânicasReações Orgânicas: Oxidação, Redução e Polimerização
O óxido de etileno é uma substância muito utilizada na esterilização química de artigos médicos e odontológicos. A esterilização se dá por uma reação de deslocamento “In vivo”, envolvendo uma reação nucleófila de sítio ativo dos ácidos nucleicos no interior da célula com a molécula de Óxido de Etileno; inibindo e modificando a síntese proteica, destruindo o ciclo de vida da célula. A esterilização ocorre através de um mecanismo de alquilação dos grupos funcionais OH e SH destes ácidos nucleicos celulares. Esta ligação inibe a produção de proteínas específicas, e com isto a morte do agente infectante.
Dado: fórmula estrutural do óxido de etileno 
(Extraído e adaptado: Folheto técnico Air Liquide p.5. Disponível em: http://www.br.airliquide.com/file/otherelement/pj/esterelizcom relação à esteroquímica e acao_oxido_de_etileno47295.pdf. Acesso em: 13 dez 2015)
Provas
Caderno Container