Foram encontradas 110 questões.
Marcam-se 5 pontos sobre uma reta r e 8 pontos sobre uma reta r' paralela a r. O número n de triângulos com vértices em 3 desses 13 pontos é dado por:
Provas
Em um terreno quadrado de 100 metros de lado corre um canal de
metros de largura. Sabendo-se que uma das diagonais do terreno está no centro do canal pode-se afirmar que:
Provas
Um número é sorteado ao acaso entre os inteiros 1,2,....,300. Se o número sorteado for um múltiplo de 3, então a probabilidade de que seja o número 30 é:
Provas
Um observador A em uma planície vê uma montanha segundo um ângulo de 15 graus (ângulo no plano vertical formado por um ponto B no topo da montanha, o observador e o plano horizontal). A pós caminhar uma distância de 500 metros em direção à montanha, ele passa a vê-la segundo um ângulo de 30 gruas. Podemos afirmar que a montanha tem uma altura h igual a:
Provas
Sabendo-se que tgθ = 5, pode-se afirmar que:
Provas
Seja ABCD um quadrado de lado 9. O lado AB foi dividido em nove partes iguais e pelos pontos que determinaram esta divisão traçaram-se paralelas à diagonal AC. Pode-se afirmar que a soma S dos comprimentos da diagonal AC juntamente com os comprimentos das demais paralelas é:
Provas
Seja f(x) = ax2 + bx + c uma função quadrática tal que

Pode-se afirmar que:
Provas
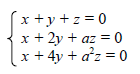
Seja a∈R. Sabe-se que o sistema de equações lineares abaixo

possui uma única solução. Pode-se afirmar que:
Provas
Seja P um pentágono e
a soma das medidas dos ângulos internos de P. Podemos afirmar então que:
Provas
Sejam f,g : R→R definidas por f (x) = x2 + x - 1 e g (x) = x3 - 2x + 1. Considere as seguintes afirmações:
I. Os zeros de f são necessariamente zeros da função g;
II. Os zeros de g são necessariamente zeros da função f.
Considerando as afirmações I e II como V se verdadeira e F se falsa, marque a alternativa com a sequência CORRETA:
Provas
Caderno Container