Magna Concursos

Foram encontradas 745 questões.

331622 Ano: 2004
Disciplina: Engenharia Civil
Banca: CESGRANRIO
Orgão: SECAD-TO
Provas:

enunciado 331622-1

Considere que:

- os pontos a e b são os mesmos, antes e depois da divisão;

- com a criação da divisória, os acionamentos das lâmpadas passaram a ser separados por sala, conforme indicado;

- todos os eletrodutos encontram-se desentupidos e em condições de receber novos condutores;

- todos os condutores foram retirados, substituídos e ins talados conforme a nova necessidade de distribuição.

enunciado 331622-2

 

Provas

Questão presente nas seguintes provas
331621 Ano: 2004
Disciplina: Engenharia Civil
Banca: CESGRANRIO
Orgão: SECAD-TO
Provas:

enunciado 331621-1

Considere que:

- os pontos a e b são os mesmos, antes e depois da divisão;

- com a criação da divisória, os acionamentos das lâmpadas passaram a ser separados por sala, conforme indicado;

- todos os eletrodutos encontram-se desentupidos e em condições de receber novos condutores;

- todos os condutores foram retirados, substituídos e ins talados conforme a nova necessidade de distribuição.

enunciado 331621-2

 

Provas

Questão presente nas seguintes provas
331620 Ano: 2004
Disciplina: Engenharia Civil
Banca: CESGRANRIO
Orgão: SECAD-TO
Provas:

enunciado 331620-1

Considere que:

- os pontos a e b são os mesmos, antes e depois da divisão;

- com a criação da divisória, os acionamentos das lâmpadas passaram a ser separados por sala, conforme indicado;

- todos os eletrodutos encontram-se desentupidos e em condições de receber novos condutores;

- todos os condutores foram retirados, substituídos e ins talados conforme a nova necessidade de distribuição.

enunciado 331620-2

 

Provas

Questão presente nas seguintes provas
331619 Ano: 2004
Disciplina: Engenharia Civil
Banca: CESGRANRIO
Orgão: SECAD-TO
Provas:

enunciado 331619-1

Considere que:

- os pontos a e b são os mesmos, antes e depois da divisão;

- com a criação da divisória, os acionamentos das lâmpadas passaram a ser separados por sala, conforme indicado;

- todos os eletrodutos encontram-se desentupidos e em condições de receber novos condutores;

- todos os condutores foram retirados, substituídos e ins talados conforme a nova necessidade de distribuição.

enunciado 331619-2

 

Provas

Questão presente nas seguintes provas
331618 Ano: 2004
Disciplina: Engenharia Civil
Banca: CESGRANRIO
Orgão: SECAD-TO
Provas:

enunciado 331618-1

Considere que:

- os pontos a e b são os mesmos, antes e depois da divisão;

- com a criação da divisória, os acionamentos das lâmpadas passaram a ser separados por sala, conforme indicado;

- todos os eletrodutos encontram-se desentupidos e em condições de receber novos condutores;

- todos os condutores foram retirados, substituídos e ins talados conforme a nova necessidade de distribuição.

enunciado 331618-2
 

Provas

Questão presente nas seguintes provas
331617 Ano: 2004
Disciplina: Engenharia Civil
Banca: CESGRANRIO
Orgão: SECAD-TO
Provas:

Entre as alternativas apresentadas, a que corretamente corresponde às normas da ABNT, para um ralo sifonado, sabendo que tubulações primárias são representadas com linha cheia e as secundárias com linha tracejada, é:

 

Provas

Questão presente nas seguintes provas
331616 Ano: 2004
Disciplina: Engenharia Civil
Banca: CESGRANRIO
Orgão: SECAD-TO
Provas:

Assinale a opção que, de acordo com as definições da Lei 8.666, é considerada serviço.

 

Provas

Questão presente nas seguintes provas
331615 Ano: 2004
Disciplina: Engenharia Civil
Banca: CESGRANRIO
Orgão: SECAD-TO
Provas:

As questões de números 25 a 28 referem-se ao quadro estrutural abaixo.

enunciado 331615-1

Considerando-se F < 0, o(s) trecho(s) NÃO sujeito(s) ao(s) esforço(s) de cisalhamento é (são) o(s):

 

Provas

Questão presente nas seguintes provas
331614 Ano: 2004
Disciplina: Engenharia Civil
Banca: CESGRANRIO
Orgão: SECAD-TO
Provas:

As questões de números 25 a 28 referem-se ao quadro estrutural abaixo.

enunciado 331614-1

Considerando F > 0, o valor da reação no apoio A valerá:

 

Provas

Questão presente nas seguintes provas
331613 Ano: 2004
Disciplina: Engenharia Civil
Banca: CESGRANRIO
Orgão: SECAD-TO
Provas:

As questões de números 25 a 28 referem-se ao quadro estrutural abaixo.

enunciado 331613-1

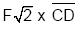
Para F > 0, o trecho enunciado 331613-2 encontra-se:

 

Provas

Questão presente nas seguintes provas