Magna Concursos

Foram encontradas 40 questões.

Considere os seguintes símbolos representado as operações lógicas referidas:

. = E

• + := OU (não exclusivo)

• ⊕ := OU (exclusivo)

Enunciado 2099911-1 := NÃO A

Seja a tabela verdade abaixo.

Enunciado 2099911-2

A coluna x é obtida pela seguinte operação:

 

Provas

Questão presente nas seguintes provas
2099899 Ano: 2021
Disciplina: Matemática
Banca: CONTEMAX
Orgão: Pref. Vista Serrana-PB
Provas:

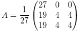
Seja a seguinte matriz

Enunciado 2099899-1

Qual dentre as matrizes é o resultado da operação A3 = A. A . A?

 

Provas

Questão presente nas seguintes provas
2099898 Ano: 2021
Disciplina: Matemática
Banca: CONTEMAX
Orgão: Pref. Vista Serrana-PB
Provas:
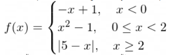
Qual figura melhor representa o comportamento da seguinte função definida por partes?
Enunciado 2099898-1
 

Provas

Questão presente nas seguintes provas
2099897 Ano: 2021
Disciplina: Matemática
Banca: CONTEMAX
Orgão: Pref. Vista Serrana-PB
Provas:

Os sólidos platônicos, ou poliedros regulares, são conhecidos desde a antiguidade. O filosofo Platão os relacionou aos elementos clássicos: Terra, Fogo, Água e Ar.

Enunciado 2099897-1

Fonte: https://pt.wikipedia.org/wiki/S%C3%B3lido_plat%C3%B3nico.

O astrônomo Johannes Kepler, no século XVI, tentou associá-los aos seis planetas conhecidos até então. A relação entre vértices (V), faces (F) e arestas (A) dos sólidos platônicos pode ser verificada pela fórmula de Euler:

V + F - A = 2

Considere as seguintes afirmações sobre os poliedros regulares:

I – O octaedro possui 6 vértices, 12 arestas e 8 faces;

II – O dodecaedro possui 20 vértices, 30 arestas e 12 faces;

III – O icosaedro possui 12 vértices, 30 arestas e 20 faces.

A respeito das afirmações, pode-se é correto declarar que:

 

Provas

Questão presente nas seguintes provas
2099896 Ano: 2021
Disciplina: Matemática
Banca: CONTEMAX
Orgão: Pref. Vista Serrana-PB
Provas:
Os três recipientes a seguir possuem formatos de sólidos geométricos distintos, porém com a mesma altura (h) e mesmo diâmetro de abertura (D). Neles se colocou água até 2/3 da altura. Seja V1, V2 e V3 o volumes do recipientes R1, R2 e R3, respectivamente.
Enunciado 2099896-1

A correta relação entre os volumes é:
 

Provas

Questão presente nas seguintes provas
2099894 Ano: 2021
Disciplina: Matemática
Banca: CONTEMAX
Orgão: Pref. Vista Serrana-PB
Provas:
Um certa cidade, que possui atualmente 100.000 habitantes, está crescendo a uma taxa de p(t) = 3√t + 1 habitantes por mês. Aproximadamente, quantos residentes A MAIS a cidade terá daqui a uma ano e meio?
 

Provas

Questão presente nas seguintes provas
2099893 Ano: 2021
Disciplina: Matemática
Banca: CONTEMAX
Orgão: Pref. Vista Serrana-PB
Provas:
Um automóvel percorreu uma distância de 57 metros de uma pista circular, descrevendo um ângulo de 68° (formado pelo ponto inicial, centro do círculo e ponto final). Qual a distância aproximada do carro ao centro da curvatura da pista (use π ≈ 3,14)?
 

Provas

Questão presente nas seguintes provas
2099892 Ano: 2021
Disciplina: Português
Banca: CONTEMAX
Orgão: Pref. Vista Serrana-PB
TEXTO

Você reconhece quando chega a felicidade?
Ana Paula Padrão
Tenho uma forte antipatia pela obrigação de ser feliz que acompanha o Carnaval. Quem foge da folia ganha o rótulo de antissocial, depressivo ou chato. Nada contra o Carnaval. Apenas contra essa confusão de conceitos. Uma festa alegre não significa que você esteja plenamente feliz. E forçar uma situação de felicidade tem tudo para terminar em arrependimento e frustração. Aliás, você reconhece a felicidade quando ela chega? Sabe que está sendo feliz naquele momento? Espere um pouco antes de responder. Pense de novo.
Estamos falando de felicidade! Não de uma alegria qualquer. E qual é a diferença? Bem, descrever a felicidade não é fácil. Ela é muito recatada. Não fica ali, posando para foto, sabe? Mas um Manual de Reconhecimento da Felicidade diria mais ou menos o seguinte: Ela é mansa. Não faz barulho. Ao mesmo tempo é farta. Quando chega, ocupa um espaço danado. Apesar disso, você quase não repara que ela está ali. Se chamar a atenção, não é ela. É euforia. Alegria. A licenciosidade de uma noite de Carnaval. Ou um reles frenesi qualquer, disfarçado de felicidade.
A dita cuja é discreta. Discretíssima. E muito tranquila. Ela te faz dormir melhor. E olha, vou te contar uma coisa: a felicidade é inimiga da ansiedade. As duas não podem nem se ver. Essa é a melhor pista para o seu Manual de Reconhecimento da Felicidade. Se você se apaixonou e está naquela fase de pura ansiedade, mesmo que esteja superfeliz, não é felicidade. É excitação. Paixonite. Quando a ansiedade for embora, pode ser que a felicidade chegue. Mas ninguém garante.
É temperamental, a felicidade. Não vem por qualquer coisa. E para ficar então… hi, não conheço nenhum caso de alguém que a tenha tido por perto a vida inteira. Por isso é tão importante reconhecê-la quando ela chega. Entendeu agora por que a minha pergunta? Será que você sabe mesmo quando está feliz? Ou será que você só consegue saber que foi feliz quando a felicidade já passou?
Eu estudo muito a felicidade. Mas não consigo reconhecê-la. Talvez porque eu seja péssima fisionomista. Ou porque ela seja muito mais esperta do que eu. Mais sábia. Fato é que eu só sei que fui feliz depois. No futuro. Olho para o passado e reconheço: “Nossa, como eu fui feliz naquela época!” Mas no presente ela sempre me dá uma rasteira. Ando por aí, feliz da vida e nem sei que estou nesse estado. Por isso aproveito menos do que poderia a graça que é ter assim, tão pertinho, a tal da felicidade.
Nos últimos tempos, dei para fazer uma lista de momentos felizes. E aqui é importante deixar claro que esses momentos devem durar um certo período de tempo. Um episódio isolado feliz – como quatro dias de Carnaval, por exemplo – não significa felicidade. A felicidade, quando vem, não vem de passagem. Não dura para sempre, mas dura um tempinho. Gosta de uma certa estabilidade, a danada! O problema é saber que ela está ali na hora em que ela está ali. Mas, voltando à lista, até que ela é longa.
Já fui bastante feliz. Talvez não na maior parte do tempo. Mas acho que ninguém é. A lista é um grande exercício. Sabendo quando você foi feliz, é mais fácil descobrir por que você foi feliz. Para ser ainda mais funcional, é bom que a lista seja cronológica. Lendo a minha, constato que fico cada vez mais feliz e por mais tempo. Será que ela está aqui agora? Não sei dizer. Mas a paz de que desfruto agora é um sintoma dela.
E isso não tem nada a ver com a tal obrigação de ser feliz desfilando no Sambódromo. Continuo meus estudos. Já tenho certeza de que hoje sou mais amiga da felicidade do que jamais fui em qualquer tempo.
Disponível em: https://istoe.com.br/190975_VOCE+RECONHECE+Q UANDO+CHEGA+A+FELICIDADE+/
Em relação aos elementos coesivos empregados no texto, assinale a opção em que o elemento destacado NÃO apresenta papel anafórico:
 

Provas

Questão presente nas seguintes provas
2099891 Ano: 2021
Disciplina: Português
Banca: CONTEMAX
Orgão: Pref. Vista Serrana-PB
TEXTO

Você reconhece quando chega a felicidade?
Ana Paula Padrão
Tenho uma forte antipatia pela obrigação de ser feliz que acompanha o Carnaval. Quem foge da folia ganha o rótulo de antissocial, depressivo ou chato. Nada contra o Carnaval. Apenas contra essa confusão de conceitos. Uma festa alegre não significa que você esteja plenamente feliz. E forçar uma situação de felicidade tem tudo para terminar em arrependimento e frustração. Aliás, você reconhece a felicidade quando ela chega? Sabe que está sendo feliz naquele momento? Espere um pouco antes de responder. Pense de novo.
Estamos falando de felicidade! Não de uma alegria qualquer. E qual é a diferença? Bem, descrever a felicidade não é fácil. Ela é muito recatada. Não fica ali, posando para foto, sabe? Mas um Manual de Reconhecimento da Felicidade diria mais ou menos o seguinte: Ela é mansa. Não faz barulho. Ao mesmo tempo é farta. Quando chega, ocupa um espaço danado. Apesar disso, você quase não repara que ela está ali. Se chamar a atenção, não é ela. É euforia. Alegria. A licenciosidade de uma noite de Carnaval. Ou um reles frenesi qualquer, disfarçado de felicidade.
A dita cuja é discreta. Discretíssima. E muito tranquila. Ela te faz dormir melhor. E olha, vou te contar uma coisa: a felicidade é inimiga da ansiedade. As duas não podem nem se ver. Essa é a melhor pista para o seu Manual de Reconhecimento da Felicidade. Se você se apaixonou e está naquela fase de pura ansiedade, mesmo que esteja superfeliz, não é felicidade. É excitação. Paixonite. Quando a ansiedade for embora, pode ser que a felicidade chegue. Mas ninguém garante.
É temperamental, a felicidade. Não vem por qualquer coisa. E para ficar então… hi, não conheço nenhum caso de alguém que a tenha tido por perto a vida inteira. Por isso é tão importante reconhecê-la quando ela chega. Entendeu agora por que a minha pergunta? Será que você sabe mesmo quando está feliz? Ou será que você só consegue saber que foi feliz quando a felicidade já passou?
Eu estudo muito a felicidade. Mas não consigo reconhecê-la. Talvez porque eu seja péssima fisionomista. Ou porque ela seja muito mais esperta do que eu. Mais sábia. Fato é que eu só sei que fui feliz depois. No futuro. Olho para o passado e reconheço: “Nossa, como eu fui feliz naquela época!” Mas no presente ela sempre me dá uma rasteira. Ando por aí, feliz da vida e nem sei que estou nesse estado. Por isso aproveito menos do que poderia a graça que é ter assim, tão pertinho, a tal da felicidade.
Nos últimos tempos, dei para fazer uma lista de momentos felizes. E aqui é importante deixar claro que esses momentos devem durar um certo período de tempo. Um episódio isolado feliz – como quatro dias de Carnaval, por exemplo – não significa felicidade. A felicidade, quando vem, não vem de passagem. Não dura para sempre, mas dura um tempinho. Gosta de uma certa estabilidade, a danada! O problema é saber que ela está ali na hora em que ela está ali. Mas, voltando à lista, até que ela é longa.
Já fui bastante feliz. Talvez não na maior parte do tempo. Mas acho que ninguém é. A lista é um grande exercício. Sabendo quando você foi feliz, é mais fácil descobrir por que você foi feliz. Para ser ainda mais funcional, é bom que a lista seja cronológica. Lendo a minha, constato que fico cada vez mais feliz e por mais tempo. Será que ela está aqui agora? Não sei dizer. Mas a paz de que desfruto agora é um sintoma dela.
E isso não tem nada a ver com a tal obrigação de ser feliz desfilando no Sambódromo. Continuo meus estudos. Já tenho certeza de que hoje sou mais amiga da felicidade do que jamais fui em qualquer tempo.
Disponível em: https://istoe.com.br/190975_VOCE+RECONHECE+Q UANDO+CHEGA+A+FELICIDADE+/
Os vocábulos abaixo, retirados do texto, passaram pelo mesmo processo de formação de palavras, com EXCEÇÃO da alternativa:
 

Provas

Questão presente nas seguintes provas
2099890 Ano: 2021
Disciplina: Português
Banca: CONTEMAX
Orgão: Pref. Vista Serrana-PB
TEXTO

Você reconhece quando chega a felicidade?
Ana Paula Padrão
Tenho uma forte antipatia pela obrigação de ser feliz que acompanha o Carnaval. Quem foge da folia ganha o rótulo de antissocial, depressivo ou chato. Nada contra o Carnaval. Apenas contra essa confusão de conceitos. Uma festa alegre não significa que você esteja plenamente feliz. E forçar uma situação de felicidade tem tudo para terminar em arrependimento e frustração. Aliás, você reconhece a felicidade quando ela chega? Sabe que está sendo feliz naquele momento? Espere um pouco antes de responder. Pense de novo.
Estamos falando de felicidade! Não de uma alegria qualquer. E qual é a diferença? Bem, descrever a felicidade não é fácil. Ela é muito recatada. Não fica ali, posando para foto, sabe? Mas um Manual de Reconhecimento da Felicidade diria mais ou menos o seguinte: Ela é mansa. Não faz barulho. Ao mesmo tempo é farta. Quando chega, ocupa um espaço danado. Apesar disso, você quase não repara que ela está ali. Se chamar a atenção, não é ela. É euforia. Alegria. A licenciosidade de uma noite de Carnaval. Ou um reles frenesi qualquer, disfarçado de felicidade.
A dita cuja é discreta. Discretíssima. E muito tranquila. Ela te faz dormir melhor. E olha, vou te contar uma coisa: a felicidade é inimiga da ansiedade. As duas não podem nem se ver. Essa é a melhor pista para o seu Manual de Reconhecimento da Felicidade. Se você se apaixonou e está naquela fase de pura ansiedade, mesmo que esteja superfeliz, não é felicidade. É excitação. Paixonite. Quando a ansiedade for embora, pode ser que a felicidade chegue. Mas ninguém garante.
É temperamental, a felicidade. Não vem por qualquer coisa. E para ficar então… hi, não conheço nenhum caso de alguém que a tenha tido por perto a vida inteira. Por isso é tão importante reconhecê-la quando ela chega. Entendeu agora por que a minha pergunta? Será que você sabe mesmo quando está feliz? Ou será que você só consegue saber que foi feliz quando a felicidade já passou?
Eu estudo muito a felicidade. Mas não consigo reconhecê-la. Talvez porque eu seja péssima fisionomista. Ou porque ela seja muito mais esperta do que eu. Mais sábia. Fato é que eu só sei que fui feliz depois. No futuro. Olho para o passado e reconheço: “Nossa, como eu fui feliz naquela época!” Mas no presente ela sempre me dá uma rasteira. Ando por aí, feliz da vida e nem sei que estou nesse estado. Por isso aproveito menos do que poderia a graça que é ter assim, tão pertinho, a tal da felicidade.
Nos últimos tempos, dei para fazer uma lista de momentos felizes. E aqui é importante deixar claro que esses momentos devem durar um certo período de tempo. Um episódio isolado feliz – como quatro dias de Carnaval, por exemplo – não significa felicidade. A felicidade, quando vem, não vem de passagem. Não dura para sempre, mas dura um tempinho. Gosta de uma certa estabilidade, a danada! O problema é saber que ela está ali na hora em que ela está ali. Mas, voltando à lista, até que ela é longa.
Já fui bastante feliz. Talvez não na maior parte do tempo. Mas acho que ninguém é. A lista é um grande exercício. Sabendo quando você foi feliz, é mais fácil descobrir por que você foi feliz. Para ser ainda mais funcional, é bom que a lista seja cronológica. Lendo a minha, constato que fico cada vez mais feliz e por mais tempo. Será que ela está aqui agora? Não sei dizer. Mas a paz de que desfruto agora é um sintoma dela.
E isso não tem nada a ver com a tal obrigação de ser feliz desfilando no Sambódromo. Continuo meus estudos. Já tenho certeza de que hoje sou mais amiga da felicidade do que jamais fui em qualquer tempo.
Disponível em: https://istoe.com.br/190975_VOCE+RECONHECE+Q UANDO+CHEGA+A+FELICIDADE+/
A oração em destaque no excerto “Bem, descrever a felicidade não é fácil.” (2º parágrafo) classifica-se da mesma forma que a oração destacada em:
 

Provas

Questão presente nas seguintes provas