Foram encontradas 60 questões.
Um corretor de imóveis trabalha em uma imobiliária e recebe uma comissão de 6%
do valor das vendas de imóveis feitas por ele. No mês de dezembro de 2021, esse corretor recebeu
um total de R$ 12.300,00 de comissão. É possível dizer então que, no período indicado, esse corretor
vendeu imóveis no valor de:
Provas
Questão presente nas seguintes provas
Considerando que as sentenças simples “Rosa é professora” e “Márcia é advogada”
são falsas, podemos afirmar que a sentença composta verdadeira é a que está indicada na alternativa:
Provas
Questão presente nas seguintes provas
- Lógica ProposicionalEquivalências Lógicas
- Lógica ProposicionalNegação de Proposições CompostasLeis de De Morgan
De acordo com as regras de De Morgan, podemos afirmar que a negação da sentença
“9 é um número primo ou 16 é um número par” é:
Provas
Questão presente nas seguintes provas
Jaime tem em seu cofre 16 cédulas de real, de dois valores diferentes. Algumas
cédulas são de R$ 20,00 e outras são de R$ 10,00, totalizando R$ 220,00. O valor que Jaime tem, em
cédulas de R$ 20,00, é igual a:
Provas
Questão presente nas seguintes provas
No triângulo retângulo ABC, apresentado na imagem abaixo, temos que a medida do
segmento AB é igual a c, a medida do segmento BC é a, AD é igual a 3,6, a medida do segmento CD
é 6,4 e a medida do segmento BD é igual a 4,8. Podemos dizer então que (a + c)
2 é igual a:


Provas
Questão presente nas seguintes provas
A soma das idades de Marcos e Sofia é igual a 47. Marcos é 15 anos mais novo do
que Sofia. Qual é a idade de Sofia?
Provas
Questão presente nas seguintes provas
A proposição composta condicional “Se Marcos gosta de correr, então ele vai
participar de uma maratona” é logicamente equivalente à sentença:
Provas
Questão presente nas seguintes provas
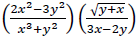
Qual o valor da expressão
se x = −2 e y = 3 ?
Provas
Questão presente nas seguintes provas
A proposição composta que representa uma tautologia é a que está indicada na
alternativa:
Provas
Questão presente nas seguintes provas
Considerando que a proposição composta “Jorge é professor ou é advogado” é falsa,
podemos afirmar que a proposição verdadeira está indicada na alternativa:
Provas
Questão presente nas seguintes provas
Cadernos
Caderno Container