Foram encontradas 55 questões.
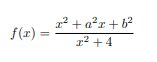
Sabendo que a e b são constantes não negativas, determine seus valores sabendo que a função f : R → {x ∈ R | x > 0} definida por é constante.

Provas
Questão presente nas seguintes provas
Denote por H + como sendo o ramo da hipérbole equilátera de equação xy = 1 contida no primeiro quadrante do plano R 2. A equação da reta que tangencia um ponto
e A,B, ∈ r e são pontos sobre os eixos coordenados, o produto entre as medidas dos catetos do triângulo retângulo AOB é:
Provas
Questão presente nas seguintes provas
Seja P =
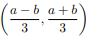
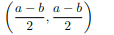
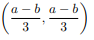
(a, b) um ponto com a /= b. O ponto da reta diagonal
∆ = {(x, x) | x ∈ R} ⊂ R2 mais proximo de P é:
Provas
Questão presente nas seguintes provas
Considere o feixe de retas x + y + c = 0, onde c ∈ R e c > 0. É CORRETO afirmar:
Provas
Questão presente nas seguintes provas
De quantas maneiras podemos dividir 8 pessoas em dois grupos de 4 pessoas?
Provas
Questão presente nas seguintes provas
Seja n um
numero inteiro maior do que ou igual a zero. Sabendo que o número 36 · 5n possui 27 divisores. Qual o valor
de n?
Provas
Questão presente nas seguintes provas
A probabilidade de uma tartaruga macho viver mais de 40 anos
e 2/5. Para a tartaruga femea a chance é de 1/5. Determine a probabilidade de que pelo menos uma esteja
viva depois de 40 anos.
Provas
Questão presente nas seguintes provas
Sejam X e
Y eventos do espaço amostral Ω, tais que as probabilidades dos eventos X, Y e X ∩ Y acontecerem sao, respectivamente, P(X) = m, P(Y ) = n e P(X ∩ Y ) = q.
O valor de P(Xc ∪ Y ) e:
Provas
Questão presente nas seguintes provas
Duas crianças colocam 1 bolinha preta e 1 branca numa caixa escura. Elas irão brincar retirando dessa caixa uma bolinha, aleatoriamente, até obter uma branca. Essa brincadeira tem um detalhe: a cada tentativa fracassada, coloca-se a bolinha preta novamente na urna e acrescenta-se mais outra bolinha preta. A probabilidade de obter a primeira bola branca no máximo na terceira tentativa é:
Provas
Questão presente nas seguintes provas
O valor da expressão é:

Provas
Questão presente nas seguintes provas
Cadernos
Caderno Container