Magna Concursos

Foram encontradas 180 questões.

106816 Ano: 2016
Disciplina: Matemática
Banca: FUNDATEC
Orgão: Pref. Vacaria-RS
Provas:
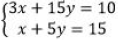
A solução do sistema de equações lineares enunciado 106816-1 é:
 

Provas

Questão presente nas seguintes provas
106815 Ano: 2016
Disciplina: Matemática
Banca: FUNDATEC
Orgão: Pref. Vacaria-RS
Provas:
Qual é a capacidade, em cm³, de um copo em formato de cilindro reto com o diâmetro da base medindo 6 cm e altura 15 cm? Utilize o valor de π=3,14.
 

Provas

Questão presente nas seguintes provas
106814 Ano: 2016
Disciplina: Matemática
Banca: FUNDATEC
Orgão: Pref. Vacaria-RS
Provas:
Sabe-se que em uma sorveteria o preço de 3 sorvetes e 5 picolés é R$ 32,50 e o preço de 6 sorvetes e 8 picolés é R$ 57,40. A partir dessas informações, quanto gastaríamos para comprar 1 sorvete e 1 picolé?
 

Provas

Questão presente nas seguintes provas
106813 Ano: 2016
Disciplina: Matemática
Banca: FUNDATEC
Orgão: Pref. Vacaria-RS
Provas:
Com 12 kg de farinha é possível preparar 32 bolos. Para preparar 46 bolos, quantos kg de farinha são necessários?
 

Provas

Questão presente nas seguintes provas
106812 Ano: 2016
Disciplina: Matemática
Banca: FUNDATEC
Orgão: Pref. Vacaria-RS
Provas:
O valor para locação de barracas cobrado por um camping é composto por uma taxa fixa de R$ 120,00 mais um valor de R$ 80,00 a cada diária. A função f(x) que representa o preço do aluguel de uma barraca em função da quantidade x de diárias é:
 

Provas

Questão presente nas seguintes provas
106811 Ano: 2016
Disciplina: Matemática
Banca: FUNDATEC
Orgão: Pref. Vacaria-RS
Provas:
Em uma loja de uma cidade turística, há oito enfeites de geladeira diferentes. De quantas maneiras diferentes uma moça pode escolher três enfeites para presentear sua mãe?
 

Provas

Questão presente nas seguintes provas
106810 Ano: 2016
Disciplina: Matemática
Banca: FUNDATEC
Orgão: Pref. Vacaria-RS
Provas:
Na reforma de uma piscina em formato de paralelepípedo medindo 4m de comprimento, 3m de largura e 2m de profundidade, serão utilizados azulejos em formato quadrado medindo 50 cm cada lado. Quantos azulejos são necessários para revestir o piso e as paredes dessa piscina?
 

Provas

Questão presente nas seguintes provas
106809 Ano: 2016
Disciplina: Matemática
Banca: FUNDATEC
Orgão: Pref. Vacaria-RS
Provas:
Qual é a área total, em cm², da superfície de um prisma regular de base quadrada medindo 8 cm cada lado e altura de 25 cm?
 

Provas

Questão presente nas seguintes provas
106808 Ano: 2016
Disciplina: Matemática
Banca: FUNDATEC
Orgão: Pref. Vacaria-RS
Provas:
Considerando que um auditório esteja com 3/5 de suas poltronas ocupadas e ainda existam 200 poltronas vagas, quantas poltronas há no total nesse auditório?
 

Provas

Questão presente nas seguintes provas
106807 Ano: 2016
Disciplina: Matemática
Banca: FUNDATEC
Orgão: Pref. Vacaria-RS
Provas:
Um cliente comprou um automóvel usado da seguinte maneira: uma entrada de 25% do valor total do automóvel, 3 parcelas iguais de R$ 3.200,00 e uma parcela final que corresponde a 35% do valor do automóvel. A partir dessas informações, qual é o valor do automóvel?
 

Provas

Questão presente nas seguintes provas