Foram encontradas 25 questões.
Quando várias pessoas de uma organização trabalham juntas em arquivos, às vezes, as versões, os comentários e as mensagens de e-mail ficam espalhadas em diferentes lugares. Pode-se ajudar as pessoas a trabalharem com mais eficiência usando um site de Espaço de Trabalho de Documento. Para criá-lo, é necessário ter permissão para criar sites de espaço de trabalho no site do Microsoft Windows SharePoint Services, onde ele está localizado. A criação de um site de Espaço de Trabalho de Documento ocorre das seguintes maneiras:
I - No painel de tarefas Gerenciamento de Documentos.
II - Enviando e-mail.
III - A partir de um documento que já esteja em uma biblioteca do SharePoint.
IV - A partir de um site.
Está(ão) CORRETA(S) a(s) afirmativa(s)
Provas
Questão presente nas seguintes provas
2484731
Ano: 2014
Disciplina: TI - Desenvolvimento de Sistemas
Banca: COTEC
Orgão: Pref. Unaí-MG
Disciplina: TI - Desenvolvimento de Sistemas
Banca: COTEC
Orgão: Pref. Unaí-MG
Provas:
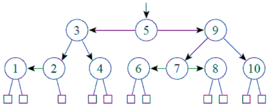
A figura abaixo representa uma árvore SBB.

As características existentes nesse tipo de árvore são:
Provas
Questão presente nas seguintes provas
No fundo do mar
O Brasil naufraga. A cada dia a situação brasileira muda – em alguns aspectos geralmente negativos – tão depressa que, quando se pensa num artigo para esta coluna, já as coisas degringolaram ou se confundiram um pouco mais. Portanto, é sempre em parte um tiro no escuro: quem sabe, até sair o texto, mais coisas graves terão acontecido e não consegui, na hora, atualizar? Mas, para isso, a gente que escreve conta com a compreensão do leitor(d) – algo já meio esquisito de pedir, uma vez que nos solicitam “compreensão” para os fatos mais incompreensíveis.
A grande nau com seus 200 milhões de passageiros quase raspa o fundo do mar, onde ficará atolada se não tomarmos medidas. E nós, os comuns mortais, nós, o povo – porque povo não são só os pobres, os miseráveis, os despossuídos, os abandonados pelo governo(a), os pobres ingênuos iludidos ou os furiosos campesinos que desfilam com bandeiras e camisas vermelhas, ameaçando com foices sem ver os próprios enganos –, o que nós, o povo, repito, podemos fazer? Além de tentarmos levar nossa existência e trabalho da maneira mais decente possível, na dura lida para conseguir pagar as contas e manter uma vida digna para a família, e torcermos para que os que mandam no país tomem as providências salvadoras, pouco podemos fazer, a não ser falar, ler, nos informar, e – isto sim – sair às ruas.
Confesso que no dia 15 de março não participei com meus filhos e amigos, e que me dispensei porque, afinal, a cada duas semanas estou com a cara na janela aqui, para milhões de leitores(b), muito exposta e muito ativa, sem ter de me apoiar na bengala que nos últimos anos uso para trajetos maiores ou mais cansativos, ou para subir alguns degraus. Mas desta vez prometi a mim mesma, se sair a manifestação de 12 de abril, lá estarei, de bengalinha e tudo, orgulhosa de poder fazer algo mais concreto ainda do que um artigo, pelo bem deste país do qual minha família fez a sua pátria há 200 anos, labutando para que ele se torne maior e melhor.
Tenho escrito especificamente sobre esta nau vítima de tamanho desastre. Tenho pensado nela insistentemente muitas horas do meu dia, e em alguma hora insone de madrugada, quando acordo, como tantos brasileiros, me perguntando: e agora? O que vai suceder, quem vai comandar? Pois estamos, não oficialmente, mas de fato, sem comando, sem experiente timoneiro que nos guie, os marinheiros aturdidos, alguns líderes apenas começando a tomar pulso e a ajudar no leme.
Tomamos consciência do perigo real, e protestamos pacificamente: 2 milhões de pessoas nas ruas do Brasil clamando pelo seu direito a escolas e hospitais públicos decentes, postos de saúde funcionando e dando os remédios básicos, estradas transitáveis; que a economia em redemoinho descendente não trave ainda mais nossa já dura vida cotidiana.
Que não desmoronem mais casinhas e edifícios do Minha Casa Minha Vida, mal construídos, ou erguidos em locais proibidos, como à beira de uma represa. Que os desperdícios em gastos do governo sejam zerados, que as assombrosas revelações, cada dia comprovadas, sobre roubos gigantescos na Petrobras e outras estatais não desabem sobre a população como um maremoto num país ingovernável e paralisado, onde propagandas enganosas causaram o endividamento impagável de milhares de famílias; que se interrompa e reduza o desemprego, que massacra muito mais pessoas do que se imagina; que se corrijam a humilhação e o isolamento do país no cenário internacional, pela patética atuação no campo diplomático.
Estamos roçando o fundo do mar de todos os naufrágios: não se divisa uma solução simples que possa mudar o cenário assustador.
Que a gente não naufrague(c), mas que uma fórmula quase milagrosa – que não conheço, mas desejo –, legal e eficiente, ponha este grande leme em mãos firmes e competentes, e nos reintroduza nos países civilizados, dando-nos segurança, paz e esperança: pois esta está cada dia mais ralinha.
Que Deus nos ajude!
(LUFT, Lya. No fundo do mar. Revista Veja. 1.º de abril de 2015.)
Assinale a alternativa em que NÃO se verifica o uso de termos que são considerados pertencentes ao registro informal, de acordo com a Gramática Normativa.
Provas
Questão presente nas seguintes provas
2483920
Ano: 2014
Disciplina: TI - Desenvolvimento de Sistemas
Banca: COTEC
Orgão: Pref. Unaí-MG
Disciplina: TI - Desenvolvimento de Sistemas
Banca: COTEC
Orgão: Pref. Unaí-MG
Provas:
Em termos de linguagens de alto nível, a compilação corresponde às seguintes características, EXCETO
Provas
Questão presente nas seguintes provas
Na década de 90, existiam vários padrões de vídeo disponíveis no mercado, que operavam em modo texto e gráfico. A exceção a essa regra, entre os listados, é o padrão:
Provas
Questão presente nas seguintes provas
2481860
Ano: 2014
Disciplina: TI - Organização e Arquitetura dos Computadores
Banca: COTEC
Orgão: Pref. Unaí-MG
Disciplina: TI - Organização e Arquitetura dos Computadores
Banca: COTEC
Orgão: Pref. Unaí-MG
Provas:
No barramento de sistema, a sua largura depende do projeto de CPU, e normalmente tem o mesmo tamanho que o da palavra da CPU. Um tamanho maior de barramento significa:
I - A CPU pode transferir mais dados por vez, tornando o computador mais rápido.
II - A CPU pode referenciar números maiores de endereço de memória, permitindo mais memória.
III - A CPU pode suportar um número limitado de instruções de memória flash.
Está(ão) CORRETA(S) a(s) afirmativa(s)
Provas
Questão presente nas seguintes provas
No fundo do mar
O Brasil naufraga. A cada dia a situação brasileira muda – em alguns aspectos geralmente negativos – tão depressa que, quando se pensa num artigo para esta coluna, já as coisas degringolaram ou se confundiram um pouco mais. Portanto, é sempre em parte um tiro no escuro: quem sabe, até sair o texto, mais coisas graves terão acontecido e não consegui, na hora, atualizar? Mas, para isso, a gente que escreve conta com a compreensão do leitor – algo já meio esquisito de pedir, uma vez que nos solicitam “compreensão” para os fatos mais incompreensíveis.
A grande nau com seus 200 milhões de passageiros quase raspa o fundo do mar, onde ficará atolada se não tomarmos medidas. E nós, os comuns mortais, nós, o povo – porque povo não são só os pobres, os miseráveis, os despossuídos, os abandonados pelo governo, os pobres ingênuos iludidos ou os furiosos campesinos que desfilam com bandeiras e camisas vermelhas, ameaçando com foices sem ver os próprios enganos –, o que nós, o povo, repito, podemos fazer? Além de tentarmos levar nossa existência e trabalho da maneira mais decente possível, na dura lida para conseguir pagar as contas e manter uma vida digna para a família, e torcermos para que os que mandam no país tomem as providências salvadoras, pouco podemos fazer, a não ser falar, ler, nos informar, e – isto sim – sair às ruas.
Confesso que no dia 15 de março não participei com meus filhos e amigos, e que me dispensei porque, afinal, a cada duas semanas estou com a cara na janela aqui, para milhões de leitores, muito exposta e muito ativa, sem ter de me apoiar na bengala que nos últimos anos uso para trajetos maiores ou mais cansativos, ou para subir alguns degraus. Mas desta vez prometi a mim mesma, se sair a manifestação de 12 de abril, lá estarei, de bengalinha e tudo, orgulhosa de poder fazer algo mais concreto ainda do que um artigo, pelo bem deste país do qual minha família fez a sua pátria há 200 anos, labutando para que ele se torne maior e melhor.
Tenho escrito especificamente sobre esta nau vítima de tamanho desastre. Tenho pensado nela insistentemente muitas horas do meu dia, e em alguma hora insone de madrugada, quando acordo, como tantos brasileiros, me perguntando: e agora? O que vai suceder, quem vai comandar? Pois estamos, não oficialmente, mas de fato, sem comando, sem experiente timoneiro que nos guie, os marinheiros aturdidos, alguns líderes apenas começando a tomar pulso e a ajudar no leme.
Tomamos consciência do perigo real, e protestamos pacificamente: 2 milhões de pessoas nas ruas do Brasil clamando pelo seu direito a escolas e hospitais públicos decentes, postos de saúde funcionando e dando os remédios básicos, estradas transitáveis; que a economia em redemoinho descendente não trave ainda mais nossa já dura vida cotidiana.
Que não desmoronem mais casinhas e edifícios do Minha Casa Minha Vida, mal construídos, ou erguidos em locais proibidos, como à beira de uma represa. Que os desperdícios em gastos do governo sejam zerados, que as assombrosas revelações, cada dia comprovadas, sobre roubos gigantescos na Petrobras e outras estatais não desabem sobre a população como um maremoto num país ingovernável e paralisado, onde propagandas enganosas causaram o endividamento impagável de milhares de famílias; que se interrompa e reduza o desemprego, que massacra muito mais pessoas do que se imagina; que se corrijam a humilhação e o isolamento do país no cenário internacional, pela patética atuação no campo diplomático.
Estamos roçando o fundo do mar de todos os naufrágios: não se divisa uma solução simples que possa mudar o cenário assustador.
Que a gente não naufrague, mas que uma fórmula quase milagrosa – que não conheço, mas desejo –, legal e eficiente, ponha este grande leme em mãos firmes e competentes, e nos reintroduza nos países civilizados, dando-nos segurança, paz e esperança: pois esta está cada dia mais ralinha.
Que Deus nos ajude!
(LUFT, Lya. No fundo do mar. Revista Veja. 1.º de abril de 2015.)
Todas as alternativas, segundo os argumentos da autora, são estratégias usadas pelo povo brasileiro para enfrentar a crise que assola o país, EXCETO
Provas
Questão presente nas seguintes provas
No fundo do mar
O Brasil naufraga. A cada dia a situação brasileira muda – em alguns aspectos geralmente negativos – tão depressa que, quando se pensa num artigo para esta coluna, já as coisas degringolaram ou se confundiram um pouco mais. Portanto, é sempre em parte um tiro no escuro: quem sabe, até sair o texto, mais coisas graves terão acontecido e não consegui, na hora, atualizar? Mas, para isso, a gente que escreve conta com a compreensão do leitor – algo já meio esquisito de pedir, uma vez que nos solicitam “compreensão” para os fatos mais incompreensíveis.
A grande nau com seus 200 milhões de passageiros quase raspa o fundo do mar, onde ficará atolada se não tomarmos medidas. E nós, os comuns mortais, nós, o povo – porque povo não são só os pobres, os miseráveis, os despossuídos, os abandonados pelo governo, os pobres ingênuos iludidos ou os furiosos campesinos que desfilam com bandeiras e camisas vermelhas, ameaçando com foices sem ver os próprios enganos –, o que nós, o povo, repito, podemos fazer? Além de tentarmos levar nossa existência e trabalho da maneira mais decente possível, na dura lida para conseguir pagar as contas e manter uma vida digna para a família, e torcermos para que os que mandam no país tomem as providências salvadoras, pouco podemos fazer, a não ser falar, ler, nos informar, e – isto sim – sair às ruas.
Confesso que no dia 15 de março não participei com meus filhos e amigos, e que me dispensei porque, afinal, a cada duas semanas estou com a cara na janela aqui, para milhões de leitores, muito exposta e muito ativa, sem ter de me apoiar na bengala que nos últimos anos uso para trajetos maiores ou mais cansativos, ou para subir alguns degraus. Mas desta vez prometi a mim mesma, se sair a manifestação de 12 de abril, lá estarei, de bengalinha e tudo(b), orgulhosa de poder fazer algo mais concreto ainda do que um artigo, pelo bem deste país do qual minha família fez a sua pátria há 200 anos, labutando para que ele se torne maior e melhor.
Tenho escrito especificamente sobre esta nau vítima de tamanho desastre. Tenho pensado nela insistentemente muitas horas do meu dia, e em alguma hora insone de madrugada, quando acordo, como tantos brasileiros, me perguntando: e agora? O que vai suceder, quem vai comandar? Pois estamos, não oficialmente, mas de fato, sem comando, sem experiente timoneiro que nos guie, os marinheiros aturdidos, alguns líderes apenas começando a tomar pulso e a ajudar no leme.
Tomamos consciência do perigo real, e protestamos pacificamente: 2 milhões de pessoas nas ruas do Brasil clamando pelo seu direito a escolas e hospitais públicos decentes, postos de saúde funcionando e dando os remédios básicos, estradas transitáveis; que a economia em redemoinho descendente não trave ainda mais nossa já dura vida cotidiana.
Que não desmoronem mais casinhas e edifícios do Minha Casa Minha Vida(a), mal construídos, ou erguidos em locais proibidos, como à beira de uma represa. Que os desperdícios em gastos do governo sejam zerados, que as assombrosas revelações, cada dia comprovadas, sobre roubos gigantescos na Petrobras e outras estatais não desabem sobre a população(c) como um maremoto num país ingovernável e paralisado, onde propagandas enganosas causaram o endividamento impagável de milhares de famílias; que se interrompa e reduza o desemprego, que massacra muito mais pessoas do que se imagina(d); que se corrijam a humilhação e o isolamento do país no cenário internacional, pela patética atuação no campo diplomático.
Estamos roçando o fundo do mar de todos os naufrágios: não se divisa uma solução simples que possa mudar o cenário assustador.
Que a gente não naufrague, mas que uma fórmula quase milagrosa – que não conheço, mas desejo –, legal e eficiente, ponha este grande leme em mãos firmes e competentes, e nos reintroduza nos países civilizados, dando-nos segurança, paz e esperança: pois esta está cada dia mais ralinha.
Que Deus nos ajude!
(LUFT, Lya. No fundo do mar. Revista Veja. 1.º de abril de 2015.)
Todas as alternativas representam, segundo a autora, fatos negativos relacionados à falta de ética na política brasileira, EXCETO
Provas
Questão presente nas seguintes provas
A Usenet é uma rede informal de computadores que permite postar e ler mensagens em grupos que focalizam tópicos específicos. Um nome mais informal dessa rede é simplesmente:
Provas
Questão presente nas seguintes provas
No fundo do mar
O Brasil naufraga. A cada dia a situação brasileira muda – em alguns aspectos geralmente negativos – tão depressa que, quando se pensa num artigo para esta coluna, já as coisas degringolaram(a) ou se confundiram um pouco mais. Portanto, é sempre em parte um tiro no escuro: quem sabe, até sair o texto, mais coisas graves terão acontecido e não consegui, na hora, atualizar? Mas, para isso, a gente que escreve conta com a compreensão do leitor – algo já meio esquisito de pedir, uma vez que nos solicitam “compreensão” para os fatos mais incompreensíveis(b).
A grande nau com seus 200 milhões de passageiros quase raspa o fundo do mar, onde ficará atolada se não tomarmos medidas. E nós, os comuns mortais, nós, o povo – porque povo não são só os pobres, os miseráveis, os despossuídos, os abandonados pelo governo, os pobres ingênuos iludidos ou os furiosos campesinos que desfilam com bandeiras e camisas vermelhas, ameaçando com foices sem ver os próprios enganos –, o que nós, o povo, repito, podemos fazer? Além de tentarmos levar nossa existência e trabalho da maneira mais decente possível, na dura lida para conseguir pagar as contas e manter uma vida digna para a família, e torcermos para que os que mandam no país tomem as providências salvadoras, pouco podemos fazer, a não ser falar, ler, nos informar, e – isto sim – sair às ruas.
Confesso que no dia 15 de março não participei com meus filhos e amigos, e que me dispensei porque, afinal, a cada duas semanas estou com a cara na janela aqui, para milhões de leitores, muito exposta e muito ativa, sem ter de me apoiar na bengala que nos últimos anos(d) uso para trajetos maiores ou mais cansativos, ou para subir alguns degraus. Mas desta vez prometi a mim mesma, se sair a manifestação de 12 de abril, lá estarei, de bengalinha e tudo, orgulhosa de poder fazer algo mais concreto ainda do que um artigo, pelo bem deste país do qual minha família fez a sua pátria há 200 anos, labutando para que ele se torne maior e melhor.
Tenho escrito especificamente sobre esta nau vítima de tamanho desastre. Tenho pensado nela insistentemente muitas horas do meu dia, e em alguma hora insone de madrugada, quando acordo, como tantos brasileiros, me perguntando: e agora? O que vai suceder, quem vai comandar? Pois estamos, não oficialmente, mas de fato, sem comando, sem experiente timoneiro que nos guie, os marinheiros aturdidos, alguns líderes apenas começando a tomar pulso e a ajudar no leme.
Tomamos consciência do perigo real, e protestamos pacificamente: 2 milhões de pessoas nas ruas do Brasil clamando pelo seu direito a escolas e hospitais públicos decentes, postos de saúde funcionando e dando os remédios básicos, estradas transitáveis; que a economia em redemoinho descendente não trave ainda mais nossa já dura vida cotidiana.
Que não desmoronem mais casinhas e edifícios do Minha Casa Minha Vida, mal construídos, ou erguidos em locais proibidos, como à beira de uma represa. Que os desperdícios em gastos do governo sejam zerados, que as assombrosas revelações, cada dia comprovadas, sobre roubos gigantescos na Petrobras e outras estatais não desabem sobre a população como um maremoto num país ingovernável e paralisado, onde propagandas enganosas causaram o endividamento impagável de milhares de famílias; que se interrompa e reduza o desemprego, que massacra muito mais pessoas do que se imagina; que se corrijam a humilhação e o isolamento do país no cenário internacional, pela patética atuação no campo diplomático.
Estamos roçando o fundo do mar de todos os naufrágios: não se divisa uma solução simples que possa mudar o cenário assustador(c).
Que a gente não naufrague, mas que uma fórmula quase milagrosa – que não conheço, mas desejo –, legal e eficiente, ponha este grande leme em mãos firmes e competentes, e nos reintroduza nos países civilizados, dando-nos segurança, paz e esperança: pois esta está cada dia mais ralinha.
Que Deus nos ajude!
(LUFT, Lya. No fundo do mar. Revista Veja. 1.º de abril de 2015.)
Em relação ao uso dos pronomes oblíquos átonos, assinale a alternativa em que o uso da próclise NÃO é obrigatório.
Provas
Questão presente nas seguintes provas
Cadernos
Caderno Container