Foram encontradas 40 questões.
Calcule:
log2 (a - 1) + log2 ( a + 1) = 3
Provas
Provas
- FundamentosPotenciação e RadiciaçãoRadiciação
- FundamentosPotenciação e RadiciaçãoPotenciação
- Álgebra
Observe o valor de cada letra (a;b;c):
a=9/4; b=√2; c=3√3
Assinale a alternativa correta:
Provas
Observe o quadro abaixo:

Veja que algumas casas foram preenchidas pelos símbolos: % ¨¨ $ ! # @ .
Para encontrar os símbolos restantes das casas o quadro deverá ser preenchido de modo que cada linha e cada coluna tenha sempre símbolos diferentes, desta forma o que substituirá o ponto de interrogação?
Provas
Marque a opção que completa sequência, considerando as letras no alfabeto K, W e Y:
B3 – E6 – I10
Provas
- FundamentosPotenciação e RadiciaçãoRadiciação
- FundamentosPotenciação e RadiciaçãoPotenciação
- Álgebra
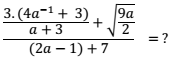
Calcule a expressão seguinte substituindo a por 2:

O valor da expressão será:
Provas
Provas
Provas
Observe os itens seguintes:
I. O bolo de chocolate, assei-o por 20 minutos.
II. O dinheiro, Alice o trazia em suas mãos.
Assinale a alternativa em que o(s) item(s) apresenta(m) objeto direto pleonástico:
Provas
Observe os itens e as preposições em destaque abaixo:
I. A menina ficou mais forte com as aulas de musculação.
II. As flores foram dadas com muito amor.
III. O Corinthians jogou com o Palmeiras ontem.
As preposições estabelecem respectivamente:
Provas
Caderno Container