Foram encontradas 322 questões.
Disciplina: Matemática
Banca: Avança SP
Orgão: Pref. São Miguel Arcanjo-SP
Uma empresa está desenvolvendo um novo design para tampas de bueiros urbanos em formato de hexágono regular inscrito em uma circunferência, com raio r. Para calcular a quantidade de material necessário para reforçar a região central da tampa, será usada a medida do apótema, que é o segmento que liga o centro do hexágono ao ponto médio de um dos lados, formando um triângulo retângulo com o raio e metade do lado. A seguir, apresenta-se um esquema que descreve um hexágono regular inscrito:

Sabendo que o raio da circunferência é conhecido
e igual a r = 10 cm, e que o hexágono é regular
e está inscrito na circunferência, qual é a medida
do apótema
, em centímetros?
Assinale a alternativa correta:
Provas
Disciplina: Matemática
Banca: Avança SP
Orgão: Pref. São Miguel Arcanjo-SP
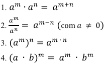
Na potenciação, há algumas propriedades que simplificam a expressão e auxiliam o processo algébrico. Com base nessas propriedades, relacione as colunas a seguir:
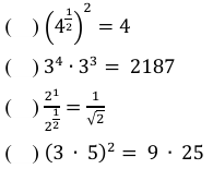
COLUNA I

COLUNA II

A Coluna I acima apresenta quatro propriedades da potenciação, e a Coluna II apresenta quatro expressões que utilizam alguma dessas propriedades para chegar ao estado atual.
Assinale a alternativa que apresenta a sequência correta, relacionando a propriedade de potenciação (Coluna I) aplicada à operação apresentada na Coluna II.
Provas
Com relação à colocação pronominal, analise as afirmativas a seguir sobre a ênclise e, em seguida, assinale a alternativa correta:
I. Um exemplo de ênclise é quando há palavras negativas antes do verbo, as quais atraem o pronome, por exemplo: Não o ajudo mais!
II. A ênclise ocorre quando o pronome é colocado depois do verbo, por exemplo: Cale-se agora!
III. Quando o pronome é colocado intercalado no verbo, chamamos de ênclise, por exemplo: Se puder, Michael visitar-me-á antes de partir.
IV. Ocorre ênclise quando o verbo estiver no gerúndio sem que seja introduzido pela preposição “em”, por exemplo: Suelen vive castigando-lhe de forma injusta.
Provas
Marque a alternativa que preenche as lacunas a seguir com as palavras ortograficamente corretas:
A instituição recebeu um grande ____________ recentemente. As empresas do bairro __________ muitos mantimentos, roupas e produtos de higiene pessoal. Os funcionários separaram e embalaram quase todos os itens para montagem dos kits, __________ as roupas.
Provas
Relacione as colunas a seguir, classificando corretamente cada tipo de pronome:
COLUNA I
1. Pronome demonstrativo.
2. Pronome relativo.
3. Pronome possessivo.
COLUNA II
(__) Estou amando este livro.
(__) A Aline não viu o meu notebook.
(__) Rafael, você pegou o caderno que estava aqui?
Assinale a alternativa que indica a correta sequência:
Provas
Considere o exemplo abaixo:
A sala de Clarice é tão bonita quanto a sala de Ruth.
Assinale a alternativa que indica a correta flexão do adjetivo em relação ao grau comparativo:
Provas
Leia o trecho a seguir:
“Um caquizeiro foi plantado na Fazenda Santa Elisa ao lado de dois gigantescos pés de lichia que há mais de cinquenta anos vivem no final de um gramado. (...) O caquizeiro vai crescer em boa companhia, aprendendo da tranquilidade e bondade das árvores já velhas que serão suas mestras.”
ALVES, Rubem. Do universo à jabuticaba. 4. ed. São Paulo: Planeta do Brasil. 2025. p. 12.
Com relação às classes de palavras, analise os itens a seguir e assinale a alternativa correta:
I. Os termos “Um” e “O”, destacados no texto acima, são classificados como artigos.
II. O primeiro é o artigo definido “Um”, que generaliza o caquizeiro, e o segundo é o artigo indefinido “O”, que especifica o mesmo caquizeiro.
Provas
Sobre o ponto-final, analise as afirmativas a seguir e, em seguida, assinale a alternativa correta:
I. O ponto-final emprega-se, principalmente, para fechar o período, por exemplo: “Jardel jogava no Santos.”.
II. Usa-se ponto-final no fim de uma palavra, oração ou frase, para indicar pergunta direta.
III. Usa-se o ponto-final nas abreviaturas, por exemplo: O império Romano se inicia em 27 a.C. e termina em 476 d.C.
IV. O ponto-final é utilizado para indicar suspensão ou interrupção do pensamento.
Provas
Leia o texto a seguir para responder a questão.
Abotoaduras
O maior fabricante de abotoaduras de punho fechou a indústria depois de convencer-se de que é infinitamente reduzido o número de camisas de manga comprida, à disposição da humanidade.
E, mais, que os exemplares deste gênero, ainda existentes, são providos de botões, dispensando abotoaduras.
— Trabalhei a vida inteira no setor — lastimava-se — e almejava legar a meus filhos a tradição das abotoaduras de punho, como requinte terminal de uma camisa digna desse nome. Os fatos ergueram-se contra mim. Não posso mais produzir abotoaduras de punho para camisas sem punho ou de punho abastardado por míseros botões de plástico.
Concluiu que é o fim da civilização, quando uma camisa esporte, estampada, movida por vento súbito, saiu pelos ares, qual bandeira solta. E era tão bonito o esvoaçar do pano bigarreado, tão graciosas as evoluções, que o homem resolveu persistir na vida e aplicar sua fortuna em uma indústria colossal de camisas de manga curta.
ANDRADE, Carlos Drummond de. Contos plausíveis. 1 ed. São Paulo: Companhia das Letras, 2012. p. 19. (adaptado)
“O maior fabricante de abotoaduras de punho fechou a indústria depois de convencer-se de que é infinitamente reduzido o número de camisas de manga comprida, à disposição da humanidade.”
Provas
Leia o texto a seguir para responder a questão.
Abotoaduras
O maior fabricante de abotoaduras de punho fechou a indústria depois de convencer-se de que é infinitamente reduzido o número de camisas de manga comprida, à disposição da humanidade.
E, mais, que os exemplares deste gênero, ainda existentes, são providos de botões, dispensando abotoaduras.
— Trabalhei a vida inteira no setor — lastimava-se — e almejava legar a meus filhos a tradição das abotoaduras de punho, como requinte terminal de uma camisa digna desse nome. Os fatos ergueram-se contra mim. Não posso mais produzir abotoaduras de punho para camisas sem punho ou de punho abastardado por míseros botões de plástico.
Concluiu que é o fim da civilização, quando uma camisa esporte, estampada, movida por vento súbito, saiu pelos ares, qual bandeira solta. E era tão bonito o esvoaçar do pano bigarreado, tão graciosas as evoluções, que o homem resolveu persistir na vida e aplicar sua fortuna em uma indústria colossal de camisas de manga curta.
ANDRADE, Carlos Drummond de. Contos plausíveis. 1 ed. São Paulo: Companhia das Letras, 2012. p. 19. (adaptado)
“Não posso mais produzir abotoaduras de punho para camisas sem punho (...).”
Em relação à regência verbal do verbo “produzir” que ocorre especificamente no trecho destacado do texto, assinale a alternativa correta. O verbo “produzir” na frase acima é:
Provas
Caderno Container