Foram encontradas 1.302 questões.
Disciplina: Engenharia Civil
Banca: FCC
Orgão: Pref. São José Rio Preto-SP
No projeto de impermeabilização de uma laje de concreto armado será utilizada argamassa impermeável com aditivo hidrófugo. O substrato que irá receber essa impermeabilização deve ser umedecido e receber uma camada de
Provas
Disciplina: Engenharia Civil
Banca: FCC
Orgão: Pref. São José Rio Preto-SP
A relação entre o volume de material no corte pelo volume de material solto é 0,714 e a porcentagem de empolamento é, aproximadamente,
Provas
Disciplina: Engenharia Civil
Banca: FCC
Orgão: Pref. São José Rio Preto-SP
O projeto de um terrapleno com área de 10.000 m!$ ^2 !$ solicita uma cota final de 3 m. A diferença entre os volumes de corte e aterro, em m!$ ^3 !$, é
Dado: Para a área de 10.000 m² a cota final para um plano horizontal com compensação de terra = 5,5 m.
Provas
Disciplina: Direito Administrativo
Banca: FCC
Orgão: Pref. São José Rio Preto-SP
Segundo a Lei nº 8.666/1993 e demais alterações, o valor máximo de contratação da construção de um edifício público, na modalidade de licitação de tomada de preços, é de
Provas
Disciplina: Engenharia Civil
Banca: FCC
Orgão: Pref. São José Rio Preto-SP
A vista superior da laje de concreto armado da figura apresenta fissuras paralelas às vigas de apoio.

A causa provável desta patologia é
Provas
Disciplina: Engenharia Civil
Banca: FCC
Orgão: Pref. São José Rio Preto-SP
A viga biapoiada da figura, com 8 m de vão, está submetida a um carregamento uniformemente distribuído de 75 kN/m e a uma força normal de 600 kN.

A tensão máxima nas fibras inferiores da viga, em MPa, é
Provas
Disciplina: Engenharia Civil
Banca: FCC
Orgão: Pref. São José Rio Preto-SP
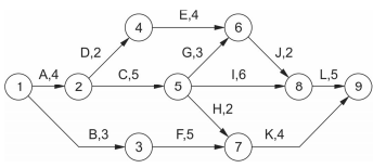
Uma obra de engenharia foi planejada segundo a rede PERT-CPM da figura, onde as atividades são representadas por letras, seguidas de suas durações, em semanas.

Segundo o planejamento, o tempo de conclusão da obra, em semanas, é
Provas
Disciplina: Engenharia Civil
Banca: FCC
Orgão: Pref. São José Rio Preto-SP
Para compor o orçamento do revestimento dos degraus de uma escada com peças de mármore utilizou-se a tabela de custos unitários a seguir.

A empresa responsável pelo serviço tem de recolher 125% de encargos sociais sobre o custo da mão de obra e pratica BDI de 30%. O preço unitário deste serviço, em reais, é de
Provas
Disciplina: Engenharia Civil
Banca: FCC
Orgão: Pref. São José Rio Preto-SP
Na montagem de um gradil metálico para o fechamento do terreno de uma edificação são necessários, para cada metro, 10 kg de barras lisas de aço (R$ 65,00/kg) e 5 h de montador (R$ 20,00/h). Ao reduzir o custo das barras de aço em 15% nesta composição de custos unitários, gera-se uma economia de
Provas
Disciplina: Engenharia Civil
Banca: FCC
Orgão: Pref. São José Rio Preto-SP
O cilindro da figura, cujo momento polar de inércia é 1 000 cm!$ ^4 !$, está submetido ao momento de torção de 100 kNm.

Se o módulo de elasticidade transversal do material é 80 GPa, o ângulo de torção na extremidade livre do cilindro, em módulo e em radianos, é
Provas
Caderno Container