Foram encontradas 1.302 questões.
Considere a Tabela Excel a seguir.

O valor em B7 é obtido através da fórmula
Provas
Questão presente nas seguintes provas
Considere a planta referente ao empreendimento Cajuru D da Companhia de Desenvolvimento Habitacional e Urbano do Estado
de São Paulo (CDHU), com 218 Unidades Habitacionais em terreno de 92.710,97 m2 e área residencial de 43.600 m2.
SÃO PAULO (ESTADO). Companhia de Desenvolvimento Habitacional e Urbano do Estado de São Paulo (CDHU).
Com base nestas informações, tem-se que o lado da quadrícula mede
SÃO PAULO (ESTADO). Companhia de Desenvolvimento Habitacional e Urbano do Estado de São Paulo (CDHU).
Com base nestas informações, tem-se que o lado da quadrícula mede
Provas
Questão presente nas seguintes provas
Considere a tabela abaixo que mostra os Atendimentos entregues entre 1967 e 2015 pela Companhia de Desenvolvimento Habitacional e Urbano do Estado de São Paulo (CDHU).
Atendimentos entregues entre 1967 e 2015
(Adaptado de: CDHU 50 anos − Promovendo a Habitação Social no Estado de São Paulo. São Paulo: CDHU, 2016)
Em relação às informações dispostas, é correto afirmar que a mediana dos atendimentos de Atuação em Cortiços nos períodos analisados é
Atendimentos entregues entre 1967 e 2015

(Adaptado de: CDHU 50 anos − Promovendo a Habitação Social no Estado de São Paulo. São Paulo: CDHU, 2016)
Em relação às informações dispostas, é correto afirmar que a mediana dos atendimentos de Atuação em Cortiços nos períodos analisados é
Provas
Questão presente nas seguintes provas
Considere as imagens apresentadas.

Os mapas temáticos I e II utilizam medidas, respectivamente,
Provas
Questão presente nas seguintes provas
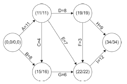
Considere o cronograma apresentado pelo gráfico abaixo:

Neste caso, o caminho crítico é formado pela sequência de atividades:
Provas
Questão presente nas seguintes provas
Considere a figura abaixo, de uma rampa em corte sem paredes laterais.

O elemento de segurança indicado é
Provas
Questão presente nas seguintes provas
Em Cartografia e Sistemas de Informação, a medida que determina o tamanho do menor objeto identificável na imagem, ou a
menor área da superfície terrestre representada na imagem, corresponde à resolução
Provas
Questão presente nas seguintes provas
De acordo com a NBR 9050, que trata da acessibilidade a edificações, mobiliário, espaços e equipamentos urbanos, piso tátil é
o piso caracterizado por textura e cor
Provas
Questão presente nas seguintes provas
O fechamento do vão entre o topo de uma alvenaria de vedação em blocos cerâmicos e uma estrutura em concreto armado
(viga), a fim de evitar o destacamento entre uma e outra, é chamado de
Provas
Questão presente nas seguintes provas
Nas áreas destinadas à manipulação da Nutrição Parenteral em ambientes farmacêuticos é VEDADO o uso de
Provas
Questão presente nas seguintes provas
Cadernos
Caderno Container