Foram encontradas 40 questões.
O produto do MDC pelo MMC de dois múltiplos sucessivos de 7 é 2058. O menor desses números é
Provas
As dimensões de um paralelepípedo retângulo formam uma progressão geométrica. Se o volume desse paralelepípedo é igual a 216 e a sua área total é igual a 252, a menor dimensão desse paralelepípedo é
Provas

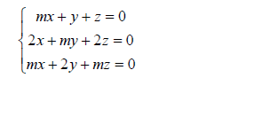
O sistema do Anexo III tem soluções diferentes de (x, y, z) = (0,0,0) se
Provas
x2 + px + 36 = 0
Considere a equação do Anexo II, com raízes x1 e x2. Para que se tenha a relação 1/x1 + 1/x2 = 5/12, o valor de “p” na equação deverá ser
Dados: a/b, lê-se ‘a’ dividido por ‘b’ = fração
Provas
Célia pesquisou sobre o custo para cobrir o “piso” da cozinha de sua casa, que se encontra ilustrado no Anexo I, com peças quadradas de cerâmica com 20 cm de lado.
Após fazer as contas, Célia verificou que só poderia comprar metade das peças necessárias para cobrir a totalidade do piso. Dessa forma, Célia comprou
Provas
Disciplina: Raciocínio Lógico
Banca: FUNRIO
Orgão: Pref. São João Barra-RJ
Dizer que “Rossano é médico ou Luís é engenheiro”, do ponto de vista lógico, equivale a dizer que
Provas
Estavam todos prontos para a volta, exceto Emília. Narizinho refletia sobre o seu caso. Por fim pediu a opinião de Tom Mix sobre o melhor meio de a levar.
Assinale a única opção que analisa corretamente um dos elementos mórficos da palavra destacada.
Provas
O caso foi que naquele dia Rabicó perdeu pelo menos um quilo de peso e pagou pelo menos metade dos seus pecados.
Da leitura atenta desse trecho, compreende-se que Rabicó
Provas
– Creio que ali irá mais comodamente do que na garupa do cavalinho pangaré.
A estrutura mórfica das palavras “comodamente” e “cavalinho” está corretamente comentada na seguinte alternativa:
Provas
– Caminha, estupor! Caminha depressa, se não te pico de espora até a alma! – gritava ele.
Sobre a palavra “estupor”, é correto afirmar que se refere no texto a
Provas
Caderno Container