Foram encontradas 880 questões.
Disciplina: Administração Geral
Banca: VUNESP
Orgão: Pref. São Bernardo do Campo-SP
Em gerenciamento de projetos, o termo que representa o escopo, cronograma e orçamento, aprovados no início de um projeto, servindo como referência para monitoramento e avaliação de desempenho, é
Provas
Disciplina: Administração Geral
Banca: VUNESP
Orgão: Pref. São Bernardo do Campo-SP
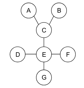
- PODC: Processo OrganizacionalProcesso Administrativo: OrganizaçãoEstrutura OrganizacionalOrganograma
No organograma circular apresentado a seguir, é dado que E possui o maior nível hierárquico.

Com base nessas informações, é correto afirmar que
Provas
Disciplina: Administração Geral
Banca: VUNESP
Orgão: Pref. São Bernardo do Campo-SP
- PODC: Processo OrganizacionalProcesso Administrativo: OrganizaçãoEstrutura OrganizacionalDesenho Estrutural das OrganizaçõesEstrutura Matricial
O tipo de organograma recomendado para uso, quando um colaborador possui dois superiores: um chefe de seu departamento funcional e um gerente de projetos relativo ao projeto no qual está alocado, é o organograma
Provas
Disciplina: TI - Desenvolvimento de Sistemas
Banca: VUNESP
Orgão: Pref. São Bernardo do Campo-SP
Em análise estruturada de sistemas, de modo geral, o diagrama conhecido como DFD
Provas
Disciplina: Administração Geral
Banca: VUNESP
Orgão: Pref. São Bernardo do Campo-SP
Quando se trata de indicadores de desempenho (KPIs) na gestão da rotina de processos, é fundamental que eles sejam
Provas
Disciplina: Administração Geral
Banca: VUNESP
Orgão: Pref. São Bernardo do Campo-SP
A análise de cenários é uma ferramenta administrativa usada para
Provas
Disciplina: Administração Geral
Banca: VUNESP
Orgão: Pref. São Bernardo do Campo-SP
Em análise administrativa, o método PDCA é utilizado para
Provas
Disciplina: Administração Geral
Banca: VUNESP
Orgão: Pref. São Bernardo do Campo-SP
Assinale a alternativa que indica a estratégia mais eficaz para garantir a implementação bem-sucedida e o acompanhamento contínuo de um processo administrativo redesenhado.
Provas
Disciplina: Administração Geral
Banca: VUNESP
Orgão: Pref. São Bernardo do Campo-SP
O objetivo principal ao se redesenhar um processo administrativo é
Provas
Disciplina: Administração Geral
Banca: VUNESP
Orgão: Pref. São Bernardo do Campo-SP
Na análise de um processo administrativo, a técnica que permite uma compreensão mais profunda das inter-relações entre diferentes etapas do processo e potenciais gargalos é a
Provas
Caderno Container