Magna Concursos

Foram encontradas 349 questões.

3132300 Ano: 2023
Disciplina: Administração de Recursos Materiais
Banca: INQC
Orgão: Pref. Sant'ana Livramento-RS
Provas:
Esse tipo de inventário rege por uma contagem de bens de uma empresa em todo fechamento de ano. Em geral, é realizado na ultima semana do ano, sem esse inventário é impossível saber se a empresa obteve resultados durante o ano vigente.
 

Provas

Questão presente nas seguintes provas
3132299 Ano: 2023
Disciplina: Engenharia Química
Banca: INQC
Orgão: Pref. Sant'ana Livramento-RS
Provas:

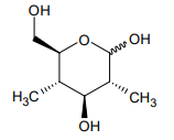
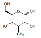
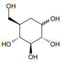
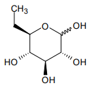
A glicose é um açúcar simples, também conhecido como um monossacarídeo, que desempenha um papel crucial como fonte de energia para os seres vivos. Ela é uma das principais formas de carboidratos que nosso corpo utiliza para produzir energia através do processo de metabolismo. A fórmula molecular da glicose é C6 H12 06 , o que significa que uma molécula de glicose consiste em seis átomos de carbono, doze átomos de hidrogênio e seis átomos de oxigênio.

Assinale a alternativa que contém a representação da fórmula estrutural da glicose.

 

Provas

Questão presente nas seguintes provas
3132298 Ano: 2023
Disciplina: Engenharia Química
Banca: INQC
Orgão: Pref. Sant'ana Livramento-RS
Provas:
A destilação é um processo de separação de componentes de uma mistura líquida com base em suas diferentes temperaturas de ebulição. Existem diferentes tipos de destilação, incluindo destilação flash, destilação binária e destilação multicomponente. Em relação aos processos de destilação, analise os itens a seguir.

I - A destilação flash é usada para separar componentes líquidos de uma mistura através de uma vaporização lenta seguida de condensação.
II - A destilação binária, como o nome sugere, envolve a separação de uma mistura de dois componentes líquidos.
III - Um exemplo comum de destilação binária é a destilação de álcool (etanol) e água.
IV - A destilação multicomponente envolve a separação de misturas que contêm mais de dois componentes. Um exemplo é a destilação fracionada do petróleo bruto em uma refinaria.

Quais estão corretos?
 

Provas

Questão presente nas seguintes provas
3132297 Ano: 2023
Disciplina: Engenharia Química
Banca: INQC
Orgão: Pref. Sant'ana Livramento-RS
Provas:
Determinado motor possui um rendimento de 35% e em cada ciclo um trabalho de 2500 J. Qual é a quantidade aproximada de calor recebido da fonte quente deste motor em calorias? (Considere 1 cal = 4 J).
 

Provas

Questão presente nas seguintes provas
3132296 Ano: 2023
Disciplina: Engenharia Química
Banca: INQC
Orgão: Pref. Sant'ana Livramento-RS
Provas:
Determinado fluido consegue através de uma tubulação com uma velocidade média de aproximadamente 7,50 . 103 in / h . Obtenha o valor de escoamento desse fluido em unidades do Sistema Internacional (SI).

Enunciado 3535407-1
 

Provas

Questão presente nas seguintes provas
3132295 Ano: 2023
Disciplina: Química
Banca: INQC
Orgão: Pref. Sant'ana Livramento-RS
Provas:

Um exemplo clássico de uma reação química em equilíbrio é a reação entre o monóxido de nitrogênio (NO) e o dióxido de nitrogênio (NO): Enunciado 3535401-1

Nesta reação, o monóxido de nitrogênio (NO) reage com o oxigênio (O2) para formar dióxido de nitrogênio (NO2), e também ocorre a reação reversa, na qual o dióxido de nitrogênio (NO2) se decompõe para formar monóxido de nitrogênio (NO) e oxigênio (O2).

Assinale a alternativa que contém a equação para a constante de equilíbrio (KC) para esta reação.

 

Provas

Questão presente nas seguintes provas
3132294 Ano: 2023
Disciplina: Química
Banca: INQC
Orgão: Pref. Sant'ana Livramento-RS
Provas:
Uma pilha eletroquímica é um dispositivo que converte em energia elétrica por meio de reações eletroquímicas. Ela consiste em dois eletrodos (um ânodo e um cátodo) imersos em um . As reações químicas nos eletrodos resultam no fluxo de elétrons através de um circuito externo, gerando .
Assinale a alternativa que cujas palavras ou expressões completam corretamente as lacunas da frase.
 

Provas

Questão presente nas seguintes provas
3132293 Ano: 2023
Disciplina: Química
Banca: INQC
Orgão: Pref. Sant'ana Livramento-RS
Provas:
O paracetamol, também conhecido como acetaminofeno, é um medicamento comumente utilizado para aliviar a dor e reduzir a febre. Ele pertence à classe dos analgésicos e antipiréticos, ou seja, é usado para reduzir a sensação de dor e a temperatura do corpo em caso de febre.
Observe a representação da estrutura química do paracetamol:


Enunciado 3535399-1


Quais grupos funcionais orgânicos estão presentes na estrutura química do paracetamol?
 

Provas

Questão presente nas seguintes provas
3132292 Ano: 2023
Disciplina: Química
Banca: INQC
Orgão: Pref. Sant'ana Livramento-RS
Provas:
O cobalto é um elemento químico do grupo dos metais de transição, com símbolo Co e número atômico 27. É um metal duro, cinza-azulado e brilhante, frequentemente encontrado em associação com minerais de níquel. O cobalto é usado em uma variedade de aplicações industriais e tecnológicas devido às suas propriedades físicas e químicas únicas.
Qual é a distribuição eletrônica para o íon Co3+?
 

Provas

Questão presente nas seguintes provas
3132291 Ano: 2023
Disciplina: Química
Banca: INQC
Orgão: Pref. Sant'ana Livramento-RS
Provas:
O dióxido de carbono (CO2) é um composto químico formado por dois átomos de oxigênio ligados a um átomo de carbono. É um gás incolor e inodoro que ocorre naturalmente na atmosfera terrestre em pequenas quantidades. Apesar de sua baixa concentração, o CO2 desempenha um papel fundamental no funcionamento do ciclo do carbono e no equilíbrio térmico da Terra. O CO2 é formado a partir de um átomo de carbono e dois átomos de oxigênio. Qual é o tipo de geometria molecular observada para o CO2?
 

Provas

Questão presente nas seguintes provas