Magna Concursos

Foram encontradas 342 questões.

472204 Ano: 2017
Disciplina: Engenharia Civil
Banca: FGV
Orgão: Pref. Salvador-BA
Provas:
A tabela a seguir apresenta o uso dos solo com as respectivas áreas e coeficientes de runoff, das áreas que compõe uma bacia hidrográfica de 4,5 km2.
enunciado 472204-1
Utilizando o método racional, determine a vazão no exutório dessa bacia, sabendo que a mesma oi causada por uma precipitação uniforme de 60 mm/h.
 

Provas

Questão presente nas seguintes provas
472203 Ano: 2017
Disciplina: Engenharia Civil
Banca: FGV
Orgão: Pref. Salvador-BA
Provas:

A figura a seguir mostra as cotas, relacionadas a um Datum local, de alguns pontos do projeto de uma estação de bombeamento.

enunciado 472203-1

Sabendo que as perdas na sucção são de 0,6 m e que as perdas no recalque são de 2,2 m, a altura manométrica total, em m, para dimensionamento da bomba é de

 

Provas

Questão presente nas seguintes provas
472202 Ano: 2017
Disciplina: Engenharia Civil
Banca: FGV
Orgão: Pref. Salvador-BA
Provas:

A figura a seguir mostra uma tubulação horizontal, rigidamente fixada em todo seu comprimento, que possui uma contração de um diâmetro de 0,4 m para um diâmetro de 0,1 m. Nas laterais da tubulação foram colocados pistões e o espaço entre eles foi preenchido com água.

enunciado 472202-1

Desprezando o atrito, o valor da força F1 a ser aplicada ao pistão da tubulação mais larga, com o objetivo de equilibrar uma força F2 de 80 N aplicada ao pistão mais estreito, é de

 

Provas

Questão presente nas seguintes provas
472201 Ano: 2017
Disciplina: Engenharia Civil
Banca: FGV
Orgão: Pref. Salvador-BA
Provas:

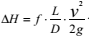
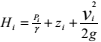
Em uma tubulação de diâmetro D = 400 mm, a água escoa em regime permanente por uma extensão L de 500 m, ligando um ponto M, com cota topográfica de 85 m, no qual a pressão interna no líquido é de 294 kN/m2, a um ponto N, com cota topográfica de 70 m, no qual a pressão interna no líquido é de 343 kN/m2.

Dados: gravidade=9,8 m/s2;

Bernoulli: enunciado 472201-1; onde: Hi é a carga hidráulica no ponto i, Pi é a pressão no ponto i, zi é a cota topográfica do ponto i e Vi é a velocidade do fluido no ponto i;

Equação Universal: enunciado 472201-2

Sabendo que o peso específico da água é de 9,8 kN/m3 e que a vazão é de 0,13823 m3/s, assinale a opção que indica o fator de atrito da tubulação.

 

Provas

Questão presente nas seguintes provas
472200 Ano: 2017
Disciplina: Engenharia Civil
Banca: FGV
Orgão: Pref. Salvador-BA
Provas:
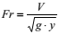
Observe o canal triangular com declividade So = 0,004 m/m e com coeficiente de rugosidade n = 0,012, que escoa uma vazão Q = 2 m3/s.
enunciado 472200-1
Inicialmente é estabelecido um movimento uniforme com altura de lâmina de água H = 0,90 m. Posteriormente, é colocada no canal uma comporta que define, à sua montante, uma altura de água superior a H e, à sua jusante, um escoamento bem raso, com altura inferior a H.
Dados:
Equação de Manning: enunciado 472200-2, onde: A é a área molhada, Rh é o raio hidráulico e So é a declividade.
Equação de Froude: enunciado 472200-3 , onde: V é a velocidade, g = 9,81 é a gravidade e y é a profundidade hidráulica.
Os regimes de escoamento antes da colocação da comporta e imediatamente à jusante da comporta, após a colocação desta, são, respectivamente,
 

Provas

Questão presente nas seguintes provas
472199 Ano: 2017
Disciplina: Engenharia Civil
Banca: FGV
Orgão: Pref. Salvador-BA
Provas:

Um viga biengastada de 10 m de vão suporta em equilíbrio uma carga triangular, cujo valor cresce de zero no apoio da esquerda até 6 kN/m no apoio da direita.

Sabendo que a viga possui seção reta constante, o valor do momento fletor em módulo no apoio da direira é, em kNm, igual a

 

Provas

Questão presente nas seguintes provas
472198 Ano: 2017
Disciplina: Engenharia Civil
Banca: FGV
Orgão: Pref. Salvador-BA
Provas:

A cortina de concreto armado de uma ponte de 2 m de altura e 10 m de comprimento foi projetada para suportar um solo de coesão nula, ângulo de atrito igual a 30° e peso específico de 18 kN/m3.

O valor da força resultante do empuxo de terra sobre a área da cortina é, em kN, igual a

 

Provas

Questão presente nas seguintes provas
472197 Ano: 2017
Disciplina: Engenharia Civil
Banca: FGV
Orgão: Pref. Salvador-BA
Provas:
O núcleo central de inércia de uma coroa circular de 200 mm de diâmetro interno e de 400 mm de diâmetro externo é um círculo concêntrico à coroa circular, cujo diâmetro, em mm, é igual a
 

Provas

Questão presente nas seguintes provas
472196 Ano: 2017
Disciplina: Engenharia Civil
Banca: FGV
Orgão: Pref. Salvador-BA
Provas:
A amostra de um solo possui densidade real igual a 2,50. Sabendo que a densidade real da parte sólida do solo é 2,00, a porosidade do solo, em %, é igual a
 

Provas

Questão presente nas seguintes provas
472195 Ano: 2017
Disciplina: Engenharia Civil
Banca: FGV
Orgão: Pref. Salvador-BA
Provas:

O coeficiente de permeabilidade de uma amostra de areia fina é igual a 10-5 m/s, que foi obtido com o uso de um permeâmetro de carga constante. Foram utilizados um reservatório superior com água e um reservatório inferior com a amostra de areia. O tempo do ensaio durou 10 min e consumiu 6 L de água.

Sabendo que a área da seção transversal e o comprimento medido no sentido do fluxo de água da amostra de areia foram 4000 cm2 e 20 cm, respectivamente, a diferença do nível entre os reservatórios superior e inferior, em cm, é igual a

 

Provas

Questão presente nas seguintes provas