Foram encontradas 271 questões.
Provas
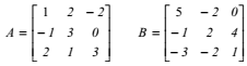
Considere as matrizes A e B, a seguir.

O elemento que ocupa a terceira linha e a segunda coluna da matriz produto BA vale:
Provas
A tabela abaixo representa o consumo de carne mensal, em kg, de uma determinada família durante um semestre.
![]()
A mediana das seis quantidades de carne mostradas na tabela é igual a:
Provas
Observe a figura abaixo que representa uma folha de papel com a forma de um retângulo ABCD que foi cortada pela diagonal AC de modo que o ângulo CÂD seja 30°.

Se a medida da diagonal AC deste retângulo é 40 cm, a área, em cm2 , da folha retangular é igual a:
Provas
Na malha quadriculada abaixo, o retângulo ABCD é formado por 50 quadrados congruentes. Ligando-se vértices de alguns desses quadrados formamos o trapézio STUV.

Se tomarmos como unidade de área o retângulo ABCD, a área do trapézio STUV corresponde a:
Provas
Considere a matriz A de ordem 3 representada abaixo:

Se o determinante dessa matriz é igual a zero, o valor de x corresponde a:
Provas
A figura abaixo representa um tronco de pirâmide quadrangular regular cuja altura mede 6 dm.

Admita que as bases deste tronco têm áreas, respectivamente, iguais a 9 dm² e 16 dm². O volume deste tronco, em dm³, corresponde a:
Provas
Se
, o valor da fração
corresponde a:
Provas
Ao resolver uma equação, João encontrou as raízes x1 e x2 .
Se x1 = log3
2 e x2
= log9 4, a razão
é igual a:
Provas
Observe no plano cartesiano, abaixo, uma circunferência com centro C (4,2) que tangencia o eixo X.

Uma equação que representa essa circunferência está indicada na seguinte opção:
Provas
Caderno Container