Foram encontradas 362 questões.
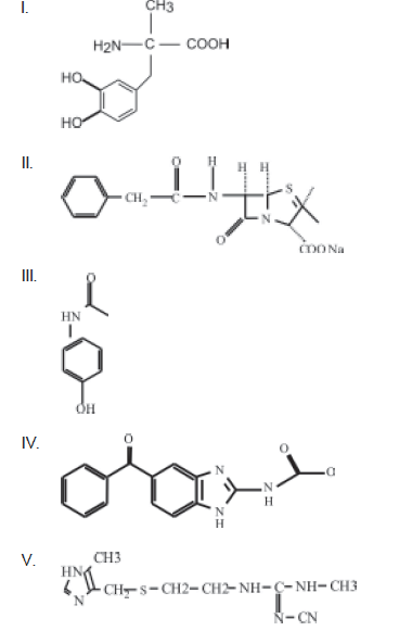
A química farmacêutica é a ciência cujas raízes se encontram em todos os ramos da química e da biologia. Preocupa- -se essencialmente com a compreensão e explicação dos mecanismos de ação dos fármacos. Nesta base, tenta estabelecer as relações entre a estrutura química e a atividade biológica dos fármacos. Abaixo, estão representadas as estruturas químicas de 5 (cinco) substâncias químicas com reconhecida atividade farmacológica. Sobre essas estruturas, responda à questão 26.

Relacione a estrutura química com a respectiva classe do medicamento:
( ) Analgésico
( ) Antibiótico
( ) Anti-helmíntico
( ) Anti-hipertensivo
( ) Anti-histamínico
Assinale a alternativa que apresenta a ordem correta, de cima para baixo:
Provas
Tratando-se da área da superfície viária, no caso de planejamento das cidades, vários são os fatores influentes na definição de sua proporção em relação à área total da superfície urbana. Entre eles, podem ser destacados os seguintes:
I. O esquema da rede viária;
II. As dimensões fixadas para as diversas vias públicas, particularmente, a largura que, por sua vez, está subordinada às conveniências e aos acordos políticos e interesses imobiliários mais vantajosos para o administrador;
III. A classificação ou distribuição das vias públicas em vias arteriais, semiarteriais e de importância local;
IV. A forma e as dimensões dos quarteirões, praças públicas e espaços livres;
V. A regulamentação do trânsito e localização das feiras livres.
Assinale a alternativa correta:
Provas
Tratando-se da estruturação das cidades, a tessitura do sistema viário urbano deve amoldar-se à configuração topográfica e ser ordenada, tendo-se em vista:
I. os deslocamentos mais agradáveis e demorados, obtidos com os percursos mais alongados possíveis, entre os locais de habitação e os do trabalho e da recreação e com comunicações fragmentadas do centro com os bairros e destes entre si;
II. o propiciamento das melhores condições técnicas para a implantação das redes hidráulico-sanitárias e de outros serviços públicos;
III. a constituição artístico-paisagística dos quarteirões, praças e logradouros públicos;
IV. a conjugação sem conflitos ou interferências antifuncionais da circulação interna com a do sistema viário regional e interurbano;
V. a ampliação da superfície viária e o seu desenvolvimento ao maior valor possível, em ordem de prevenirem- se trechos supérfluos priorizando-se, objetivamente, o transporte individual de longa distância.
São corretas as afirmativas:
Provas
As Comissões Provisórias de Prevenção de Acidentes – CIPAs têm, entre outras, as seguintes atribuições:
I. Discutir os acidentes ocorridos;
II. Promover a divulgação e zelar pela observância das normas de conduta e lazer e outros regulamentos emitidos pelo empregador;
III. Despertar o interesse dos empregados pela prevenção de doenças venéreas e estimulá-los permanentemente a adotar comportamento recatado e preventivo durante o trabalho e fora dele;
IV. Participar da campanha de prevenção de acidentes promovida pela empresa, p
ermanentemente;
V. Convocar pessoas no âmbito da empresa quando necessário, para tomada de informação, depoimento e dados ilustrativos e/ou esclarecedores, por ocasião da investigação dos acidentes de trabalho.
Estão corretas as afirmativas:
Provas
Levando em conta as definições da Norma NBR 8083/83 que trata dos Materiais e Sistemas utilizados em Impermeabilizações e considerando então uma cobertura de concreto, pode-se dizer que:
I. Suporte da impermeabilização: é a parte da construção sobre a qual é aplicada, diretamente, a impermeabilização;
II. Estrutura portante: é a parte da cobertura destinada a resistir ao peso próprio e às solicitações e que constitui o suporte da impermeabilização ou sobre o qual repousa este suporte;
III. Camada de regularização: é o elemento colocado entre duas camadas da cobertura para impedir sua aderência e permitir movimentos diferenciais;
IV. Impermeabilização: é um elemento constituído de uma ou de várias camadas de materiais ou produtos isolantes cuja função é reduzir as trocas de calor entre o interior e o exterior do edifício;
V. Camada de separação: Camada destinada a preparar o suporte da impermeabilização para recebimento desta. Tem como função suprimir irregularidades dando adequado acabamento a cantos e arestas.
São INCORRETAS as afirmativas:
Provas
Tratando-se do esgotamento das águas pluviais, marque (V) verdadeiro ou (F) falso nas seguintes afirmativas e identifique a alternativa que contém a sequência correta, de cima para baixo:
( ) A água da chuva é dos elementos naturais o mais benéfico para a aparência e durabilidade das construções;
( ) O sistema de esgotamento e disposição de águas pluviais deve ser completamente separado do sistema de esgotamento sanitário;
( ) É proibido pela maioria dos Códigos Municipais de Obras o caimento livre de água dos telhados de prédios de mais de um pavimento, bem com em terrenos vizinhos;
( ) A localização dos condutores de decida fica condicionada ao caimento do telhado e à estrutura do prédio e o diâmetro à vazão que se deve escoar;
( ) O projeto de esgotamento pluvial deverá prever seu trajeto de forma longa e bem elaborada, garantindo tempo de recorrência suficiente para reduzir o impacto do ingresso dessas águas na rede pluvial urbana.
Provas
Tratando-se de instalações sanitárias, pode- -se afirmar:
( ) Em áreas não favorecidas por redes de esgotos públicos torna-se obrigatório o uso de instalações para a depuração biológica e bacteriana das águas residuárias;
( ) Fossas sépticas são instalações que incrementam a agressividade das águas servidas, não tendo por isso aplicação muito difundida;
( ) A fossa séptica destina-se a misturar com produtos químicos apropriados, a matéria sólida contida nas águas de esgoto, descarregando-a em terreno onde se admite uma contaminação indetectável pela vigilância sanitária;
( ) Fossas sépticas devem ser localizadas perto da habitação, o mais próximo possível do banheiro, com tubulação o mais retilínea possível e distanciada no mínimo a 15 metros e abaixo de qualquer manancial de água utilizado;
( ) O efluente das fossas sépticas será conduzido por tubulação de comprimento variável a qual permitirá, por sua porosidade, sua infiltração no terreno entrando em contato com as bactérias aeróbias do solo, onde terá seu tratamento completado.
Identifique as afirmações (V) verdadeiras ou (F) falsas e escolha a alternativa correta, de cima para baixo:
Provas
Se observarmos uma viga sendo submetida a um carregamento contínuo, até a sua rotura, poderemos chegar a algumas conclusões. Assinale a alternativa que apresenta uma conclusão INCORRETA:
Provas
As peças de madeira utilizadas nas construções apresentam uma série de defeitos que prejudicam a resistência, o aspecto ou a durabilidade. Os defeitos podem provir da constituição, do tronco ou do processo de preparação das peças. Marque (V) verdadeiro ou (F) falso e escolha entre as alternativas apresentadas a sequência correta, de cima para baixo:
( ) Nós: são imperfeições da madeira, nos pontos dos troncos onde existiram os galhos;
( ) Gretas ou fendas: são aberturas nas extremidade das peças, produzidas pela secagem mais rápida da superfície; ficam situadas em planos longitudinais radiais;
( ) Fendas: são separações entre os anéis anuais, provocadas por ação de intempéries ou secagem inadequada;
( ) Abaulamento: é o encurvamento na direção longitudinal, isto é, do comprimento da peça;
( ) Arqueadura: é o encurvamento na direção da largura da peça.
Provas
Considerando fundações superficiais em que a profundidade da fundação é menor ou igual à sua largura, marque (V) verdadeiro ou (F) falso para as afirmações abaixo e identifique a alternativa que contém a sequência correta, de cima para baixo:
( ) Quando uma carga proveniente de uma fundação é aplicada no solo, este se deforma e a fundação recalca;
( ) Quanto maior a carga, menores os recalques;
( ) Para pequenas cargas, os recalque são aproximadamente proporcionais a elas;
( ) Ao ser atingida a rotura, o terreno desloca-se podendo arrastar a fundação. Neste caso, podemos dizer que o solo passa do estado elástico para o estado plástico, ocorrendo tensões de cisalhamento maiores que a resistência ao cisalhamento do próprio solo.
Provas
Caderno Container