Foram encontradas 30 questões.
Ao jogar dois dados normais não viciados, a probabilidade de a soma dos números da face de cima ser 5 é, aproximadamente,
Provas
Qual área máxima possui um retângulo cujo perímetro é igual a 12?
Provas
Considere dois números inteiros (a e b). Sabe-se que o mmc (a, b) = 125 e mdc (a, b) = 5. Nesse caso, a multiplicação a.(b) é
Provas
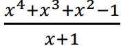
Simplificando a expressão
, obtém-se
Provas
Um alimento possui 130 calorias, em 100 gramas. João pretende ingerir 400 calorias. Quantos gramas do alimento João deve consumir?
Provas
Considere os 4 números naturais a=11356707, b=7845079, c=214324 e d=8760116. São divisíveis por 11
Provas
Considere f(x)=ax²+bx+c uma função polinomial de grau 2. Sabe-se que a=3 e o x do vértice é -2. Nesse caso, o valor de b é
Provas
Uma copiadora cobra um valor fixo de R$ 3,00 mais R$ 0,15 por página impressa. Quanto pagará um cliente que imprimiu 120 páginas?
Provas
INSTRUÇÃO: Leia, com atenção, o texto 03 e, a seguir, responda às questões 09 e 10, que a ele se referem.
Texto 03

Disponível em: https://tirinhasinteligentes.tumblr.com/. Acesso em: 28 set. 2024. Adaptado.
Assinale a alternativa que se enquadra no uso da palavra “mesma” na fala da neta, no terceiro quadro da tira.
Provas
INSTRUÇÃO: Leia, com atenção, o texto 03 e, a seguir, responda às questões 09 e 10, que a ele se referem.
Texto 03

Disponível em: https://tirinhasinteligentes.tumblr.com/. Acesso em: 28 set. 2024. Adaptado.
Analise as afirmativas a seguir, tendo em vista as ideias que se podem inferir sobre o texto 03.
I- A fala da neta, no terceiro quadro, explicita o sentido que ela dá à palavra “mesmo”, usada pela avó.
II- A correção feita pela neta causa irritação a Anésia, por esse motivo ela se nega a fazer a retificação.
III- A fala de Anésia, no quarto quadro, explicita o sentido que ela dá à palavra “mesma”, usada pela neta.
IV- A posição ocupada pela palavra “mesmo”, nas falas no segundo e quarto quadro, gera ambiguidade.
V- A palavra “mesmo” nas falas de Anésia, se usada após o verbo, poderá ser substituída por “realmente”.
Estão CORRETAS as afirmativas
Provas
Caderno Container