Foram encontradas 358 questões.
Uma função tem seu gráfico representado pela figura a seguir. Sabendo que θ = arctan 4 , assinale a alternativa que apresenta o valor da soma de E1, E2 e E3.

Provas
Questão presente nas seguintes provas
Qual é a probabilidade de se tomar um ponto randomicamente no interior do triângulo equilátero de lado igual a 3cm, situar-se no interior da circunferência inscrita? Assinale a alternativa que apresenta esta probabilidade.

Provas
Questão presente nas seguintes provas
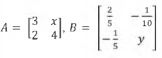
Assinale a alternativa que apresenta os valores de x e
y, respectivamente, para que as matrizes A e B sejam
inversas.


Provas
Questão presente nas seguintes provas
Observe a equação a seguir.

Provas
Questão presente nas seguintes provas
Uma família, constituída por 4 pessoas, usa de forma
3
racional a água. Utiliza 3/10 de água da chuva, que é
armazenada em uma cisterna, e 7/10 de água tratada
10
fornecida por uma distribuidora. Se a família usa 1000
litros de água por semana, dentre as alternativas
abaixo, qual é aquela que apresenta o valor de água
utilizado pela família de água da chuva e da
distribuidora por mês, em litros, respectivamente?
Leve em consideração que um mês tem quatro
semanas.
Provas
Questão presente nas seguintes provas
Se uma família tem uma renda total de R$ 954,00, ou
seja, o salário mínimo fixado no ano de 2018 pelo
Governo Federal, e gasta R$ 600,00 em um
supermercado para comprar alimento, qual dentre as
alternativas abaixo apresenta a razão entre o gasto
com alimentos da família com relação ao salário
mínimo fixado pelo Governo Federal para o ano de
2018?
Provas
Questão presente nas seguintes provas
Considerando que as raízes da equação 5x² + 3x + t = 0 são reais e iguais, então a solução da equação 5y²+2 - 5y+1 + 5/9 t = 0 é:
Provas
Questão presente nas seguintes provas
Sabendo que a função g(x) = (m²+1)x² + (6m+ 5/2)x + 81 tem seu valor máximo em x = 1 logo pode-se afirmar
que o valor de m é:
Provas
Questão presente nas seguintes provas
Sabendo que o termo esquerdo da equação 2x/3 + 4x/9 + 8x/27 + ... = 16 é uma progressão geométrica
infinita, o valor de x é igual a:
Provas
Questão presente nas seguintes provas
Em uma caixa não transparente, onde o único acesso
é um orifício, onde ninguém consegue olhar o que se
tira, tem 10 bolas contendo letras de A a J. Essas
bolas são sorteadas uma de cada vez e reposta na
caixa para o próximo sorteio. Seja P(AA)
a probabilidade de se sortear duas vezes a bola A
e seja P(DE ) a probabilidade de se sortear a bola D
seguida da bola E. Nessas condições, é verdade que:
Provas
Questão presente nas seguintes provas
Cadernos
Caderno Container