Foram encontradas 80 questões.
Atualmente muitas organizações utilizam sistemas de correio eletrônico do tipo webmail. Qual das assertivas é verdadeira em relação a esse tipo de sistema.
Provas
Questão presente nas seguintes provas
Considere as sentenças abaixo acerca do Power Point 2003:
I. O modo de exibição normal permite editar um slide, inserindo texto, imagens e outros objetos.
II. O modo apresentação de slides permite organizar um conjunto de slides copiando, removendo e alterando a ordem de um ou mais slides em relação aos demais.
III. O modo anotações permite ao apresentador inserir textos nos slides que não serão vistos no momento da apresentação.
Quais afirmativas estão corretas?
Provas
Questão presente nas seguintes provas
No MS-Access-2003 pode-se definir e alterar as propriedades dos campos do banco de dados. Qual das propriedades abaixo NÃO é permitido alterar?
Provas
Questão presente nas seguintes provas
No MS-Word-2003 podem-se realizar diversas tarefas de formatação de parágrafos. Assinale a alternativa que contém a afirmação correta.
Provas
Questão presente nas seguintes provas
583763
Ano: 2012
Disciplina: Matemática Financeira
Banca: FMP Concursos
Orgão: Pref. Porto Alegre-RS
Disciplina: Matemática Financeira
Banca: FMP Concursos
Orgão: Pref. Porto Alegre-RS
Provas:
A solução da próxima questão poderá ser apoiada pelo uso das tabelas a seguir onde se encontram resultados de cálculos de fórmulas da Matemática Financeira, em especial referente a juros compostos para pagamento único e para séries uniforme de pagamentos periódicos. O candidato deverá escolher a alternativa mais próxima do resultado obtido. Quando for necessário converter unidades de tempo deve-se adotar a regra em que um ano tem 12 meses ou 360 dias, e um mês tem 30 dias.
| Quantia individual ou pagamento único | |||||||||||
| Fator de valor futuro ou de capitalização | Fator de valor presente ou de atualização | ||||||||||
| !$ (1+i)^n !$ | !$ \dfrac {1} {(1+I)^n} !$ | ||||||||||
| Taxa de juros no período | Taxa de juros no período | ||||||||||
| n | 1,00% | 2,00% | 3,00% | 4,00% | 5,00% | n | 1,00% | 2,00% | 3,00% | 4,00% | 5,00% |
| 1 | 1,0100 | 1,0200 | 1,0300 | 1,0400 | 1,0500 | 1 | 0,9901 | 0,9804 | 0,9709 | 0,9615 | 0,9524 |
| 2 | 1,0201 | 1,0404 | 1,0609 | 1,0816 | 1,1025 | 2 | 0,9803 | 0,9612 | 0,9426 | 0,9246 | 0,9070 |
| 3 | 1,0303 | 1,0612 | 1,0927 | 1,1249 | 1,1576 | 3 | 0,9706 | 0,9423 | 0,9151 | 0,8890 | 0,8638 |
| 4 | 1,0406 | 1,0824 | 1,1255 | 1,1699 | 1,2155 | 4 | 0,9610 | 0,9238 | 0,8885 | 0,8548 | 0,8227 |
| 5 | 1,0510 | 1,1041 | 1,1593 | 1,2167 | 1,2763 | 5 | 0,9515 | 0,9057 | 0,8626 | 0,8219 | 0,7835 |
| 6 | 1,0615 | 1,1262 | 1,1941 | 1,2653 | 1,3401 | 6 | 0,9420 | 0,8880 | 0,8375 | 0,7903 | 0,7462 |
| 7 | 1,0721 | 1,1487 | 1,2299 | 1,3159 | 1,4071 | 7 | 0,9327 | 0,8706 | 0,8131 | 0,7599 | 0,7107 |
| 8 | 1,0829 | 1,1717 | 1,2668 | 1,3686 | 1,4775 | 8 | 0,9235 | 0,8535 | 0,7894 | 0,7307 | 0,6768 |
| 9 | 1,0937 | 1,1951 | 1,3048 | 1,4233 | 1,5513 | 9 | 0,9143 | 0,8368 | 0,7664 | 0,7026 | 0,6446 |
| 10 | 1,1046 | 1,2190 | 1,3439 | 1,4802 | 1,6289 | 10 | 0,9053 | 0,8203 | 0,7441 | 0,6756 | 0,6139 |
| 11 | 1,1157 | 1,2434 | 1,3842 | 1,5395 | 1,7103 | 11 | 0,8963 | 0,8043 | 0,7224 | 0,6496 | 0,5847 |
| 12 | 1,1268 | 1,2682 | 1,4258 | 1,6010 | 1,7959 | 12 | 0,8874 | 0,7885 | 0,7014 | 0,6246 | 0,5568 |
| Série de pagamentos iguais (anuidades ordinárias ou postecipadas) | |||||||||||
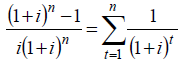
| Fator de valor presente de uma anuidade ordinária | Fator de recuperação de capital | ||||||||||
![]() |
![]() |
||||||||||
| Taxa de juros no período | Taxa de juros no período | ||||||||||
| n | 1,00% | 2,00% | 3,00% | 4,00% | 5,00% | n | 1,00% | 2,00% | 3,00% | 4,00% | 5,00% |
| 1 | 0,9901 | 0,9804 | 0,9709 | 0,9615 | 0,9524 | 1 | 1,0100 | 1,0200 | 1,0300 | 1,0400 | 1,0500 |
| 2 | 1,9704 | 1,9416 | 1,9135 | 1,8861 | 1,8594 | 2 |
0,5075
|
0,5150 | 0,5226 | 0,5302 | 0,5378 |
| 3 | 2,9410 | 2,8839 | 2,8286 | 2,7751 | 2,7232 | 3 | 0,3400 | 0,3468 | 0,3535 | 0,3603 | 0,3672 |
| 4 | 3,9020 | 3,8077 | 3,7171 | 3,6299 | 3,5460 | 4 | 0,2563 | 0,2626 | 0,2690 | 0,2755 | 0,2820 |
| 5 | 4,8534 | 4,7135 | 4,5797 | 4,4518 | 4,3295 | 5 | 0,2060 | 0,2122 | 0,2184 | 0,2246 |
0,2310
|
| 6 | 5,7955 | 5,6014 | 5,4172 | 5,2421 | 5,0757 | 6 |
0,1725
|
0,1785 | 0,1846 | 0,1908 | 0,1970 |
| 7 | 6,7282 | 6,4720 | 6,2303 | 6,0021 | 5,7864 | 7 | 0,1486 | 0,1545 | 0,1605 | 0,1666 | 0,1728 |
| 8 | 7,6517 | 7,3255 | 7,0197 | 6,7327 | 6,4632 | 8 | 0,1307 | 0,1365 | 0,1425 | 0,1485 | 0,1547 |
| 9 | 8,5660 | 8,1622 | 7,7861 | 7,4353 | 7,1078 | 9 | 0,1167 | 0,1225 | 0,1284 | 0,1345 | 0,1407 |
| 10 | 9,4713 | 8,9826 | 8,5302 | 8,1109 | 7,7217 | 10 | 0,1056 | 0,1113 | 0,1172 | 0,1233 | 0,1295 |
| 11 | 10,3676 | 9,7868 | 9,2526 | 8,7605 | 8,3064 | 11 |
0,0965
|
0,1022 | 0,1081 | 0,1141 | 0,1204 |
| 12 | 11,2551 | 10,5753 | 9,9540 | 9,3851 | 8,8633 | 12 | 0,0888 | 0,0946 | 0,1005 | 0,1066 | 0,1128 |
O cliente de um banco obteve o financiamento de R$ 25.000,00, pelo sistema francês de amortização (Sistema Price), à taxa de juros de 2% ao mês, em 10 prestações mensais, a primeira vencendo um mês após a liberação do empréstimo. A parcela referente à amortização do principal da dívida da primeira prestação é
Provas
Questão presente nas seguintes provas
583762
Ano: 2012
Disciplina: Matemática Financeira
Banca: FMP Concursos
Orgão: Pref. Porto Alegre-RS
Disciplina: Matemática Financeira
Banca: FMP Concursos
Orgão: Pref. Porto Alegre-RS
Provas:
A solução da próxima questão poderá ser apoiada pelo uso das tabelas a seguir onde se encontram resultados de cálculos de fórmulas da Matemática Financeira, em especial referente a juros compostos para pagamento único e para séries uniforme de pagamentos periódicos. O candidato deverá escolher a alternativa mais próxima do resultado obtido. Quando for necessário converter unidades de tempo deve-se adotar a regra em que um ano tem 12 meses ou 360 dias, e um mês tem 30 dias.
| Quantia individual ou pagamento único | |||||||||||
| Fator de valor futuro ou de capitalização | Fator de valor presente ou de atualização | ||||||||||
| !$ (1+i)^n !$ | !$ \dfrac {1} {(1+I)^n} !$ | ||||||||||
| Taxa de juros no período | Taxa de juros no período | ||||||||||
| n | 1,00% | 2,00% | 3,00% | 4,00% | 5,00% | n | 1,00% | 2,00% | 3,00% | 4,00% | 5,00% |
| 1 | 1,0100 | 1,0200 | 1,0300 | 1,0400 | 1,0500 | 1 | 0,9901 | 0,9804 | 0,9709 | 0,9615 | 0,9524 |
| 2 | 1,0201 | 1,0404 | 1,0609 | 1,0816 | 1,1025 | 2 | 0,9803 | 0,9612 | 0,9426 | 0,9246 | 0,9070 |
| 3 | 1,0303 | 1,0612 | 1,0927 | 1,1249 | 1,1576 | 3 | 0,9706 | 0,9423 | 0,9151 | 0,8890 | 0,8638 |
| 4 | 1,0406 | 1,0824 | 1,1255 | 1,1699 | 1,2155 | 4 | 0,9610 | 0,9238 | 0,8885 | 0,8548 | 0,8227 |
| 5 | 1,0510 | 1,1041 | 1,1593 | 1,2167 | 1,2763 | 5 | 0,9515 | 0,9057 | 0,8626 | 0,8219 | 0,7835 |
| 6 | 1,0615 | 1,1262 | 1,1941 | 1,2653 | 1,3401 | 6 | 0,9420 | 0,8880 | 0,8375 | 0,7903 | 0,7462 |
| 7 | 1,0721 | 1,1487 | 1,2299 | 1,3159 | 1,4071 | 7 | 0,9327 | 0,8706 | 0,8131 | 0,7599 | 0,7107 |
| 8 | 1,0829 | 1,1717 | 1,2668 | 1,3686 | 1,4775 | 8 | 0,9235 | 0,8535 | 0,7894 | 0,7307 | 0,6768 |
| 9 | 1,0937 | 1,1951 | 1,3048 | 1,4233 | 1,5513 | 9 | 0,9143 | 0,8368 | 0,7664 | 0,7026 | 0,6446 |
| 10 | 1,1046 | 1,2190 | 1,3439 | 1,4802 | 1,6289 | 10 | 0,9053 | 0,8203 | 0,7441 | 0,6756 | 0,6139 |
| 11 | 1,1157 | 1,2434 | 1,3842 | 1,5395 | 1,7103 | 11 | 0,8963 | 0,8043 | 0,7224 | 0,6496 | 0,5847 |
| 12 | 1,1268 | 1,2682 | 1,4258 | 1,6010 | 1,7959 | 12 | 0,8874 | 0,7885 | 0,7014 | 0,6246 | 0,5568 |
| Série de pagamentos iguais (anuidades ordinárias ou postecipadas) | |||||||||||
| Fator de valor presente de uma anuidade ordinária | Fator de recuperação de capital | ||||||||||
![]() |
![]() |
||||||||||
| Taxa de juros no período | Taxa de juros no período | ||||||||||
| n | 1,00% | 2,00% | 3,00% | 4,00% | 5,00% | n | 1,00% | 2,00% | 3,00% | 4,00% | 5,00% |
| 1 | 0,9901 | 0,9804 | 0,9709 | 0,9615 | 0,9524 | 1 | 1,0100 | 1,0200 | 1,0300 | 1,0400 | 1,0500 |
| 2 | 1,9704 | 1,9416 | 1,9135 | 1,8861 | 1,8594 | 2 |
0,5075
|
0,5150 | 0,5226 | 0,5302 | 0,5378 |
| 3 | 2,9410 | 2,8839 | 2,8286 | 2,7751 | 2,7232 | 3 | 0,3400 | 0,3468 | 0,3535 | 0,3603 | 0,3672 |
| 4 | 3,9020 | 3,8077 | 3,7171 | 3,6299 | 3,5460 | 4 | 0,2563 | 0,2626 | 0,2690 | 0,2755 | 0,2820 |
| 5 | 4,8534 | 4,7135 | 4,5797 | 4,4518 | 4,3295 | 5 | 0,2060 | 0,2122 | 0,2184 | 0,2246 |
0,2310
|
| 6 | 5,7955 | 5,6014 | 5,4172 | 5,2421 | 5,0757 | 6 |
0,1725
|
0,1785 | 0,1846 | 0,1908 | 0,1970 |
| 7 | 6,7282 | 6,4720 | 6,2303 | 6,0021 | 5,7864 | 7 | 0,1486 | 0,1545 | 0,1605 | 0,1666 | 0,1728 |
| 8 | 7,6517 | 7,3255 | 7,0197 | 6,7327 | 6,4632 | 8 | 0,1307 | 0,1365 | 0,1425 | 0,1485 | 0,1547 |
| 9 | 8,5660 | 8,1622 | 7,7861 | 7,4353 | 7,1078 | 9 | 0,1167 | 0,1225 | 0,1284 | 0,1345 | 0,1407 |
| 10 | 9,4713 | 8,9826 | 8,5302 | 8,1109 | 7,7217 | 10 | 0,1056 | 0,1113 | 0,1172 | 0,1233 | 0,1295 |
| 11 | 10,3676 | 9,7868 | 9,2526 | 8,7605 | 8,3064 | 11 |
0,0965
|
0,1022 | 0,1081 | 0,1141 | 0,1204 |
| 12 | 11,2551 | 10,5753 | 9,9540 | 9,3851 | 8,8633 | 12 | 0,0888 | 0,0946 | 0,1005 | 0,1066 | 0,1128 |
Uma loja utiliza a taxa de juros de 2% ao mês para financiar produtos a seus clientes. Para financiar uma compra cujo valor à vista é de R$ 2.000,00, em 8 prestações mensais, iguais e sucessivas, a primeira delas vencendo 2 meses após a compra, o valor da prestação será
Provas
Questão presente nas seguintes provas
583761
Ano: 2012
Disciplina: Matemática Financeira
Banca: FMP Concursos
Orgão: Pref. Porto Alegre-RS
Disciplina: Matemática Financeira
Banca: FMP Concursos
Orgão: Pref. Porto Alegre-RS
Provas:
A solução da próxima questão poderá ser apoiada pelo uso das tabelas a seguir onde se encontram resultados de cálculos de fórmulas da Matemática Financeira, em especial referente a juros compostos para pagamento único e para séries uniforme de pagamentos periódicos. O candidato deverá escolher a alternativa mais próxima do resultado obtido. Quando for necessário converter unidades de tempo deve-se adotar a regra em que um ano tem 12 meses ou 360 dias, e um mês tem 30 dias.
| Quantia individual ou pagamento único | |||||||||||
| Fator de valor futuro ou de capitalização | Fator de valor presente ou de atualização | ||||||||||
| !$ (1+i)^n !$ | !$ \dfrac {1} {(1+I)^n} !$ | ||||||||||
| Taxa de juros no período | Taxa de juros no período | ||||||||||
| n | 1,00% | 2,00% | 3,00% | 4,00% | 5,00% | n | 1,00% | 2,00% | 3,00% | 4,00% | 5,00% |
| 1 | 1,0100 | 1,0200 | 1,0300 | 1,0400 | 1,0500 | 1 | 0,9901 | 0,9804 | 0,9709 | 0,9615 | 0,9524 |
| 2 | 1,0201 | 1,0404 | 1,0609 | 1,0816 | 1,1025 | 2 | 0,9803 | 0,9612 | 0,9426 | 0,9246 | 0,9070 |
| 3 | 1,0303 | 1,0612 | 1,0927 | 1,1249 | 1,1576 | 3 | 0,9706 | 0,9423 | 0,9151 | 0,8890 | 0,8638 |
| 4 | 1,0406 | 1,0824 | 1,1255 | 1,1699 | 1,2155 | 4 | 0,9610 | 0,9238 | 0,8885 | 0,8548 | 0,8227 |
| 5 | 1,0510 | 1,1041 | 1,1593 | 1,2167 | 1,2763 | 5 | 0,9515 | 0,9057 | 0,8626 | 0,8219 | 0,7835 |
| 6 | 1,0615 | 1,1262 | 1,1941 | 1,2653 | 1,3401 | 6 | 0,9420 | 0,8880 | 0,8375 | 0,7903 | 0,7462 |
| 7 | 1,0721 | 1,1487 | 1,2299 | 1,3159 | 1,4071 | 7 | 0,9327 | 0,8706 | 0,8131 | 0,7599 | 0,7107 |
| 8 | 1,0829 | 1,1717 | 1,2668 | 1,3686 | 1,4775 | 8 | 0,9235 | 0,8535 | 0,7894 | 0,7307 | 0,6768 |
| 9 | 1,0937 | 1,1951 | 1,3048 | 1,4233 | 1,5513 | 9 | 0,9143 | 0,8368 | 0,7664 | 0,7026 | 0,6446 |
| 10 | 1,1046 | 1,2190 | 1,3439 | 1,4802 | 1,6289 | 10 | 0,9053 | 0,8203 | 0,7441 | 0,6756 | 0,6139 |
| 11 | 1,1157 | 1,2434 | 1,3842 | 1,5395 | 1,7103 | 11 | 0,8963 | 0,8043 | 0,7224 | 0,6496 | 0,5847 |
| 12 | 1,1268 | 1,2682 | 1,4258 | 1,6010 | 1,7959 | 12 | 0,8874 | 0,7885 | 0,7014 | 0,6246 | 0,5568 |
| Série de pagamentos iguais (anuidades ordinárias ou postecipadas) | |||||||||||
| Fator de valor presente de uma anuidade ordinária | Fator de recuperação de capital | ||||||||||
![]() |
![]() |
||||||||||
| Taxa de juros no período | Taxa de juros no período | ||||||||||
| n | 1,00% | 2,00% | 3,00% | 4,00% | 5,00% | n | 1,00% | 2,00% | 3,00% | 4,00% | 5,00% |
| 1 | 0,9901 | 0,9804 | 0,9709 | 0,9615 | 0,9524 | 1 | 1,0100 | 1,0200 | 1,0300 | 1,0400 | 1,0500 |
| 2 | 1,9704 | 1,9416 | 1,9135 | 1,8861 | 1,8594 | 2 |
0,5075
|
0,5150 | 0,5226 | 0,5302 | 0,5378 |
| 3 | 2,9410 | 2,8839 | 2,8286 | 2,7751 | 2,7232 | 3 | 0,3400 | 0,3468 | 0,3535 | 0,3603 | 0,3672 |
| 4 | 3,9020 | 3,8077 | 3,7171 | 3,6299 | 3,5460 | 4 | 0,2563 | 0,2626 | 0,2690 | 0,2755 | 0,2820 |
| 5 | 4,8534 | 4,7135 | 4,5797 | 4,4518 | 4,3295 | 5 | 0,2060 | 0,2122 | 0,2184 | 0,2246 |
0,2310
|
| 6 | 5,7955 | 5,6014 | 5,4172 | 5,2421 | 5,0757 | 6 |
0,1725
|
0,1785 | 0,1846 | 0,1908 | 0,1970 |
| 7 | 6,7282 | 6,4720 | 6,2303 | 6,0021 | 5,7864 | 7 | 0,1486 | 0,1545 | 0,1605 | 0,1666 | 0,1728 |
| 8 | 7,6517 | 7,3255 | 7,0197 | 6,7327 | 6,4632 | 8 | 0,1307 | 0,1365 | 0,1425 | 0,1485 | 0,1547 |
| 9 | 8,5660 | 8,1622 | 7,7861 | 7,4353 | 7,1078 | 9 | 0,1167 | 0,1225 | 0,1284 | 0,1345 | 0,1407 |
| 10 | 9,4713 | 8,9826 | 8,5302 | 8,1109 | 7,7217 | 10 | 0,1056 | 0,1113 | 0,1172 | 0,1233 | 0,1295 |
| 11 | 10,3676 | 9,7868 | 9,2526 | 8,7605 | 8,3064 | 11 |
0,0965
|
0,1022 | 0,1081 | 0,1141 | 0,1204 |
| 12 | 11,2551 | 10,5753 | 9,9540 | 9,3851 | 8,8633 | 12 | 0,0888 | 0,0946 | 0,1005 | 0,1066 | 0,1128 |
Um conjunto de estofados no valor à vista de R$ 1.602,72, foi financiado em 10 prestações mensais, sucessivas e iguais a R$ 200,00, a primeira vencendo um mês após a compra. A taxa mensal de juros utilizada foi de
Provas
Questão presente nas seguintes provas
583760
Ano: 2012
Disciplina: Matemática Financeira
Banca: FMP Concursos
Orgão: Pref. Porto Alegre-RS
Disciplina: Matemática Financeira
Banca: FMP Concursos
Orgão: Pref. Porto Alegre-RS
Provas:
A solução da próxima questão poderá ser apoiada pelo uso das tabelas a seguir onde se encontram resultados de cálculos de fórmulas da Matemática Financeira, em especial referente a juros compostos para pagamento único e para séries uniforme de pagamentos periódicos. O candidato deverá escolher a alternativa mais próxima do resultado obtido. Quando for necessário converter unidades de tempo deve-se adotar a regra em que um ano tem 12 meses ou 360 dias, e um mês tem 30 dias.
| Quantia individual ou pagamento único | |||||||||||
| Fator de valor futuro ou de capitalização | Fator de valor presente ou de atualização | ||||||||||
| !$ (1+i)^n !$ | !$ \dfrac {1} {(1+I)^n} !$ | ||||||||||
| Taxa de juros no período | Taxa de juros no período | ||||||||||
| n | 1,00% | 2,00% | 3,00% | 4,00% | 5,00% | n | 1,00% | 2,00% | 3,00% | 4,00% | 5,00% |
| 1 | 1,0100 | 1,0200 | 1,0300 | 1,0400 | 1,0500 | 1 | 0,9901 | 0,9804 | 0,9709 | 0,9615 | 0,9524 |
| 2 | 1,0201 | 1,0404 | 1,0609 | 1,0816 | 1,1025 | 2 | 0,9803 | 0,9612 | 0,9426 | 0,9246 | 0,9070 |
| 3 | 1,0303 | 1,0612 | 1,0927 | 1,1249 | 1,1576 | 3 | 0,9706 | 0,9423 | 0,9151 | 0,8890 | 0,8638 |
| 4 | 1,0406 | 1,0824 | 1,1255 | 1,1699 | 1,2155 | 4 | 0,9610 | 0,9238 | 0,8885 | 0,8548 | 0,8227 |
| 5 | 1,0510 | 1,1041 | 1,1593 | 1,2167 | 1,2763 | 5 | 0,9515 | 0,9057 | 0,8626 | 0,8219 | 0,7835 |
| 6 | 1,0615 | 1,1262 | 1,1941 | 1,2653 | 1,3401 | 6 | 0,9420 | 0,8880 | 0,8375 | 0,7903 | 0,7462 |
| 7 | 1,0721 | 1,1487 | 1,2299 | 1,3159 | 1,4071 | 7 | 0,9327 | 0,8706 | 0,8131 | 0,7599 | 0,7107 |
| 8 | 1,0829 | 1,1717 | 1,2668 | 1,3686 | 1,4775 | 8 | 0,9235 | 0,8535 | 0,7894 | 0,7307 | 0,6768 |
| 9 | 1,0937 | 1,1951 | 1,3048 | 1,4233 | 1,5513 | 9 | 0,9143 | 0,8368 | 0,7664 | 0,7026 | 0,6446 |
| 10 | 1,1046 | 1,2190 | 1,3439 | 1,4802 | 1,6289 | 10 | 0,9053 | 0,8203 | 0,7441 | 0,6756 | 0,6139 |
| 11 | 1,1157 | 1,2434 | 1,3842 | 1,5395 | 1,7103 | 11 | 0,8963 | 0,8043 | 0,7224 | 0,6496 | 0,5847 |
| 12 | 1,1268 | 1,2682 | 1,4258 | 1,6010 | 1,7959 | 12 | 0,8874 | 0,7885 | 0,7014 | 0,6246 | 0,5568 |
| Série de pagamentos iguais (anuidades ordinárias ou postecipadas) | |||||||||||
| Fator de valor presente de uma anuidade ordinária | Fator de recuperação de capital | ||||||||||
![]() |
![]() |
||||||||||
| Taxa de juros no período | Taxa de juros no período | ||||||||||
| n | 1,00% | 2,00% | 3,00% | 4,00% | 5,00% | n | 1,00% | 2,00% | 3,00% | 4,00% | 5,00% |
| 1 | 0,9901 | 0,9804 | 0,9709 | 0,9615 | 0,9524 | 1 | 1,0100 | 1,0200 | 1,0300 | 1,0400 | 1,0500 |
| 2 | 1,9704 | 1,9416 | 1,9135 | 1,8861 | 1,8594 | 2 |
0,5075
|
0,5150 | 0,5226 | 0,5302 | 0,5378 |
| 3 | 2,9410 | 2,8839 | 2,8286 | 2,7751 | 2,7232 | 3 | 0,3400 | 0,3468 | 0,3535 | 0,3603 | 0,3672 |
| 4 | 3,9020 | 3,8077 | 3,7171 | 3,6299 | 3,5460 | 4 | 0,2563 | 0,2626 | 0,2690 | 0,2755 | 0,2820 |
| 5 | 4,8534 | 4,7135 | 4,5797 | 4,4518 | 4,3295 | 5 | 0,2060 | 0,2122 | 0,2184 | 0,2246 |
0,2310
|
| 6 | 5,7955 | 5,6014 | 5,4172 | 5,2421 | 5,0757 | 6 |
0,1725
|
0,1785 | 0,1846 | 0,1908 | 0,1970 |
| 7 | 6,7282 | 6,4720 | 6,2303 | 6,0021 | 5,7864 | 7 | 0,1486 | 0,1545 | 0,1605 | 0,1666 | 0,1728 |
| 8 | 7,6517 | 7,3255 | 7,0197 | 6,7327 | 6,4632 | 8 | 0,1307 | 0,1365 | 0,1425 | 0,1485 | 0,1547 |
| 9 | 8,5660 | 8,1622 | 7,7861 | 7,4353 | 7,1078 | 9 | 0,1167 | 0,1225 | 0,1284 | 0,1345 | 0,1407 |
| 10 | 9,4713 | 8,9826 | 8,5302 | 8,1109 | 7,7217 | 10 | 0,1056 | 0,1113 | 0,1172 | 0,1233 | 0,1295 |
| 11 | 10,3676 | 9,7868 | 9,2526 | 8,7605 | 8,3064 | 11 |
0,0965
|
0,1022 | 0,1081 | 0,1141 | 0,1204 |
| 12 | 11,2551 | 10,5753 | 9,9540 | 9,3851 | 8,8633 | 12 | 0,0888 | 0,0946 | 0,1005 | 0,1066 | 0,1128 |
O financiamento de um eletrodoméstico é feito em 6 prestações mensais, iguais e sucessivas, no valor de R$ 100,00 cada uma, vencendo a primeira na data da compra. Sabendo-se que a taxa de juros utilizada foi de 3% ao mês o valor à vista do eletrodoméstico é de
Provas
Questão presente nas seguintes provas
583759
Ano: 2012
Disciplina: Matemática Financeira
Banca: FMP Concursos
Orgão: Pref. Porto Alegre-RS
Disciplina: Matemática Financeira
Banca: FMP Concursos
Orgão: Pref. Porto Alegre-RS
Provas:
A solução da próxima questão poderá ser apoiada pelo uso das tabelas a seguir onde se encontram resultados de cálculos de fórmulas da Matemática Financeira, em especial referente a juros compostos para pagamento único e para séries uniforme de pagamentos periódicos. O candidato deverá escolher a alternativa mais próxima do resultado obtido. Quando for necessário converter unidades de tempo deve-se adotar a regra em que um ano tem 12 meses ou 360 dias, e um mês tem 30 dias.
| Quantia individual ou pagamento único | |||||||||||
| Fator de valor futuro ou de capitalização | Fator de valor presente ou de atualização | ||||||||||
| !$ (1+i)^n !$ | !$ \dfrac {1} {(1+I)^n} !$ | ||||||||||
| Taxa de juros no período | Taxa de juros no período | ||||||||||
| n | 1,00% | 2,00% | 3,00% | 4,00% | 5,00% | n | 1,00% | 2,00% | 3,00% | 4,00% | 5,00% |
| 1 | 1,0100 | 1,0200 | 1,0300 | 1,0400 | 1,0500 | 1 | 0,9901 | 0,9804 | 0,9709 | 0,9615 | 0,9524 |
| 2 | 1,0201 | 1,0404 | 1,0609 | 1,0816 | 1,1025 | 2 | 0,9803 | 0,9612 | 0,9426 | 0,9246 | 0,9070 |
| 3 | 1,0303 | 1,0612 | 1,0927 | 1,1249 | 1,1576 | 3 | 0,9706 | 0,9423 | 0,9151 | 0,8890 | 0,8638 |
| 4 | 1,0406 | 1,0824 | 1,1255 | 1,1699 | 1,2155 | 4 | 0,9610 | 0,9238 | 0,8885 | 0,8548 | 0,8227 |
| 5 | 1,0510 | 1,1041 | 1,1593 | 1,2167 | 1,2763 | 5 | 0,9515 | 0,9057 | 0,8626 | 0,8219 | 0,7835 |
| 6 | 1,0615 | 1,1262 | 1,1941 | 1,2653 | 1,3401 | 6 | 0,9420 | 0,8880 | 0,8375 | 0,7903 | 0,7462 |
| 7 | 1,0721 | 1,1487 | 1,2299 | 1,3159 | 1,4071 | 7 | 0,9327 | 0,8706 | 0,8131 | 0,7599 | 0,7107 |
| 8 | 1,0829 | 1,1717 | 1,2668 | 1,3686 | 1,4775 | 8 | 0,9235 | 0,8535 | 0,7894 | 0,7307 | 0,6768 |
| 9 | 1,0937 | 1,1951 | 1,3048 | 1,4233 | 1,5513 | 9 | 0,9143 | 0,8368 | 0,7664 | 0,7026 | 0,6446 |
| 10 | 1,1046 | 1,2190 | 1,3439 | 1,4802 | 1,6289 | 10 | 0,9053 | 0,8203 | 0,7441 | 0,6756 | 0,6139 |
| 11 | 1,1157 | 1,2434 | 1,3842 | 1,5395 | 1,7103 | 11 | 0,8963 | 0,8043 | 0,7224 | 0,6496 | 0,5847 |
| 12 | 1,1268 | 1,2682 | 1,4258 | 1,6010 | 1,7959 | 12 | 0,8874 | 0,7885 | 0,7014 | 0,6246 | 0,5568 |
| Série de pagamentos iguais (anuidades ordinárias ou postecipadas) | |||||||||||
| Fator de valor presente de uma anuidade ordinária | Fator de recuperação de capital | ||||||||||
![]() |
![]() |
||||||||||
| Taxa de juros no período | Taxa de juros no período | ||||||||||
| n | 1,00% | 2,00% | 3,00% | 4,00% | 5,00% | n | 1,00% | 2,00% | 3,00% | 4,00% | 5,00% |
| 1 | 0,9901 | 0,9804 | 0,9709 | 0,9615 | 0,9524 | 1 | 1,0100 | 1,0200 | 1,0300 | 1,0400 | 1,0500 |
| 2 | 1,9704 | 1,9416 | 1,9135 | 1,8861 | 1,8594 | 2 |
0,5075
|
0,5150 | 0,5226 | 0,5302 | 0,5378 |
| 3 | 2,9410 | 2,8839 | 2,8286 | 2,7751 | 2,7232 | 3 | 0,3400 | 0,3468 | 0,3535 | 0,3603 | 0,3672 |
| 4 | 3,9020 | 3,8077 | 3,7171 | 3,6299 | 3,5460 | 4 | 0,2563 | 0,2626 | 0,2690 | 0,2755 | 0,2820 |
| 5 | 4,8534 | 4,7135 | 4,5797 | 4,4518 | 4,3295 | 5 | 0,2060 | 0,2122 | 0,2184 | 0,2246 |
0,2310
|
| 6 | 5,7955 | 5,6014 | 5,4172 | 5,2421 | 5,0757 | 6 |
0,1725
|
0,1785 | 0,1846 | 0,1908 | 0,1970 |
| 7 | 6,7282 | 6,4720 | 6,2303 | 6,0021 | 5,7864 | 7 | 0,1486 | 0,1545 | 0,1605 | 0,1666 | 0,1728 |
| 8 | 7,6517 | 7,3255 | 7,0197 | 6,7327 | 6,4632 | 8 | 0,1307 | 0,1365 | 0,1425 | 0,1485 | 0,1547 |
| 9 | 8,5660 | 8,1622 | 7,7861 | 7,4353 | 7,1078 | 9 | 0,1167 | 0,1225 | 0,1284 | 0,1345 | 0,1407 |
| 10 | 9,4713 | 8,9826 | 8,5302 | 8,1109 | 7,7217 | 10 | 0,1056 | 0,1113 | 0,1172 | 0,1233 | 0,1295 |
| 11 | 10,3676 | 9,7868 | 9,2526 | 8,7605 | 8,3064 | 11 |
0,0965
|
0,1022 | 0,1081 | 0,1141 | 0,1204 |
| 12 | 11,2551 | 10,5753 | 9,9540 | 9,3851 | 8,8633 | 12 | 0,0888 | 0,0946 | 0,1005 | 0,1066 | 0,1128 |
Um capital no valor de R$ 4.000,00 ficou aplicado em um fundo durante 10 meses e rendeu juros de R$ 876,00. A taxa mensal de juros compostos da aplicação foi de
Provas
Questão presente nas seguintes provas
583758
Ano: 2012
Disciplina: Matemática Financeira
Banca: FMP Concursos
Orgão: Pref. Porto Alegre-RS
Disciplina: Matemática Financeira
Banca: FMP Concursos
Orgão: Pref. Porto Alegre-RS
Provas:
A solução da próxima questão poderá ser apoiada pelo uso das tabelas a seguir onde se encontram resultados de cálculos de fórmulas da Matemática Financeira, em especial referente a juros compostos para pagamento único e para séries uniforme de pagamentos periódicos. O candidato deverá escolher a alternativa mais próxima do resultado obtido. Quando for necessário converter unidades de tempo deve-se adotar a regra em que um ano tem 12 meses ou 360 dias, e um mês tem 30 dias.
| Quantia individual ou pagamento único | |||||||||||
| Fator de valor futuro ou de capitalização | Fator de valor presente ou de atualização | ||||||||||
| !$ (1+i)^n !$ | !$ \dfrac {1} {(1+I)^n} !$ | ||||||||||
| Taxa de juros no período | Taxa de juros no período | ||||||||||
| n | 1,00% | 2,00% | 3,00% | 4,00% | 5,00% | n | 1,00% | 2,00% | 3,00% | 4,00% | 5,00% |
| 1 | 1,0100 | 1,0200 | 1,0300 | 1,0400 | 1,0500 | 1 | 0,9901 | 0,9804 | 0,9709 | 0,9615 | 0,9524 |
| 2 | 1,0201 | 1,0404 | 1,0609 | 1,0816 | 1,1025 | 2 | 0,9803 | 0,9612 | 0,9426 | 0,9246 | 0,9070 |
| 3 | 1,0303 | 1,0612 | 1,0927 | 1,1249 | 1,1576 | 3 | 0,9706 | 0,9423 | 0,9151 | 0,8890 | 0,8638 |
| 4 | 1,0406 | 1,0824 | 1,1255 | 1,1699 | 1,2155 | 4 | 0,9610 | 0,9238 | 0,8885 | 0,8548 | 0,8227 |
| 5 | 1,0510 | 1,1041 | 1,1593 | 1,2167 | 1,2763 | 5 | 0,9515 | 0,9057 | 0,8626 | 0,8219 | 0,7835 |
| 6 | 1,0615 | 1,1262 | 1,1941 | 1,2653 | 1,3401 | 6 | 0,9420 | 0,8880 | 0,8375 | 0,7903 | 0,7462 |
| 7 | 1,0721 | 1,1487 | 1,2299 | 1,3159 | 1,4071 | 7 | 0,9327 | 0,8706 | 0,8131 | 0,7599 | 0,7107 |
| 8 | 1,0829 | 1,1717 | 1,2668 | 1,3686 | 1,4775 | 8 | 0,9235 | 0,8535 | 0,7894 | 0,7307 | 0,6768 |
| 9 | 1,0937 | 1,1951 | 1,3048 | 1,4233 | 1,5513 | 9 | 0,9143 | 0,8368 | 0,7664 | 0,7026 | 0,6446 |
| 10 | 1,1046 | 1,2190 | 1,3439 | 1,4802 | 1,6289 | 10 | 0,9053 | 0,8203 | 0,7441 | 0,6756 | 0,6139 |
| 11 | 1,1157 | 1,2434 | 1,3842 | 1,5395 | 1,7103 | 11 | 0,8963 | 0,8043 | 0,7224 | 0,6496 | 0,5847 |
| 12 | 1,1268 | 1,2682 | 1,4258 | 1,6010 | 1,7959 | 12 | 0,8874 | 0,7885 | 0,7014 | 0,6246 | 0,5568 |
| Série de pagamentos iguais (anuidades ordinárias ou postecipadas) | |||||||||||
| Fator de valor presente de uma anuidade ordinária | Fator de recuperação de capital | ||||||||||
![]() |
![]() |
||||||||||
| Taxa de juros no período | Taxa de juros no período | ||||||||||
| n | 1,00% | 2,00% | 3,00% | 4,00% | 5,00% | n | 1,00% | 2,00% | 3,00% | 4,00% | 5,00% |
| 1 | 0,9901 | 0,9804 | 0,9709 | 0,9615 | 0,9524 | 1 | 1,0100 | 1,0200 | 1,0300 | 1,0400 | 1,0500 |
| 2 | 1,9704 | 1,9416 | 1,9135 | 1,8861 | 1,8594 | 2 |
0,5075
|
0,5150 | 0,5226 | 0,5302 | 0,5378 |
| 3 | 2,9410 | 2,8839 | 2,8286 | 2,7751 | 2,7232 | 3 | 0,3400 | 0,3468 | 0,3535 | 0,3603 | 0,3672 |
| 4 | 3,9020 | 3,8077 | 3,7171 | 3,6299 | 3,5460 | 4 | 0,2563 | 0,2626 | 0,2690 | 0,2755 | 0,2820 |
| 5 | 4,8534 | 4,7135 | 4,5797 | 4,4518 | 4,3295 | 5 | 0,2060 | 0,2122 | 0,2184 | 0,2246 |
0,2310
|
| 6 | 5,7955 | 5,6014 | 5,4172 | 5,2421 | 5,0757 | 6 |
0,1725
|
0,1785 | 0,1846 | 0,1908 | 0,1970 |
| 7 | 6,7282 | 6,4720 | 6,2303 | 6,0021 | 5,7864 | 7 | 0,1486 | 0,1545 | 0,1605 | 0,1666 | 0,1728 |
| 8 | 7,6517 | 7,3255 | 7,0197 | 6,7327 | 6,4632 | 8 | 0,1307 | 0,1365 | 0,1425 | 0,1485 | 0,1547 |
| 9 | 8,5660 | 8,1622 | 7,7861 | 7,4353 | 7,1078 | 9 | 0,1167 | 0,1225 | 0,1284 | 0,1345 | 0,1407 |
| 10 | 9,4713 | 8,9826 | 8,5302 | 8,1109 | 7,7217 | 10 | 0,1056 | 0,1113 | 0,1172 | 0,1233 | 0,1295 |
| 11 | 10,3676 | 9,7868 | 9,2526 | 8,7605 | 8,3064 | 11 |
0,0965
|
0,1022 | 0,1081 | 0,1141 | 0,1204 |
| 12 | 11,2551 | 10,5753 | 9,9540 | 9,3851 | 8,8633 | 12 | 0,0888 | 0,0946 | 0,1005 | 0,1066 | 0,1128 |
O valor do rendimento de uma aplicação de R$ 3.000,00, à taxa de juros compostos de 2% ao mês, após 120 dias, é
Provas
Questão presente nas seguintes provas
Cadernos
Caderno Container

