Foram encontradas 40 questões.
Disciplina: TI - Ciência de Dados e BI
Banca: VUNESP
Orgão: Pref. Pindamonhangaba-SP
O processo de desenvolvimento de um storytelling com dados (ou data storytelling) consiste em utilizar
Provas
Disciplina: TI - Desenvolvimento de Sistemas
Banca: VUNESP
Orgão: Pref. Pindamonhangaba-SP
O seguinte trecho de um arquivo XML contém informações sobre livros:
<catalogo>
<livro>
<titulo>Alguma Poesia</titulo>
<autor>Carlos Drummond</autor>
</livro>
<livro>
<titulo>O Alienista</titulo>
<autor>Machado de Assis</autor>
</livro>
[...]
</catalogo>
O template XSLT a seguir tem como objetivo transformar o XML de catálogo de livros em um arquivo HTML para exibição, no qual duas linhas foram propositalmente ocultadas e estão indicadas pela lacuna “ ”.
<?xml version="1.0" encoding="UTF-8"?>
<xsl:stylesheet version="1.0" xmlns:xsl=
"http://www.w3.org/1999/XSL/Transform">
<xsl:template match="/catalogo">
<html><body>
<h1>Livros</h1>
<table>
<tr>
<th>Titulo</th>
<th>Autor</th>
</tr>
<tr>
<td>
<xsl:value-of select="titulo"/>
</td>
<td>
<xsl:value-of select="autor"/>
</td>
</tr>
</table>
</body></html>
</xsl:template>
</xsl:stylesheet>
Para atingir o objetivo, o correto preenchimento das duas lacunas, na ordem em que aparecem, é:
Provas
Disciplina: TI - Desenvolvimento de Sistemas
Banca: VUNESP
Orgão: Pref. Pindamonhangaba-SP
Dentre as técnicas para aplicação de testes de software, destacam-se os denominados testes de caixa branca e de caixa preta, sobre os quais é correto afirmar que o teste de caixa
Provas
Disciplina: TI - Desenvolvimento de Sistemas
Banca: VUNESP
Orgão: Pref. Pindamonhangaba-SP
O teste unitário ou de unidade de um software consiste
Provas
Disciplina: TI - Desenvolvimento de Sistemas
Banca: VUNESP
Orgão: Pref. Pindamonhangaba-SP
Considerando um diagrama de máquina de estados da UML 2.0, é correto afirmar que, nesse tipo de diagrama,
Provas
Disciplina: TI - Desenvolvimento de Sistemas
Banca: VUNESP
Orgão: Pref. Pindamonhangaba-SP
Assinale a alternativa que não corresponde a uma diretriz do desenvolvimento de software baseado na arquitetura de microsserviços.
Provas
Disciplina: TI - Desenvolvimento de Sistemas
Banca: VUNESP
Orgão: Pref. Pindamonhangaba-SP
Sistemas de versionamento online Git, como o GitHub, permitem que usuários tenham acesso a diversos códigos disponibilizados por desenvolvedores. Um comando Git utilizado para copiar um repositório online é o:
Provas
Disciplina: TI - Desenvolvimento de Sistemas
Banca: VUNESP
Orgão: Pref. Pindamonhangaba-SP
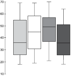
O seguinte elemento visual foi encontrado em um dashboard na web.

O nome da técnica de visualização empregada é:
Provas
Disciplina: TI - Desenvolvimento de Sistemas
Banca: VUNESP
Orgão: Pref. Pindamonhangaba-SP
- Fundamentos de ProgramaçãoFunções, Métodos e Procedimentos
- Fundamentos de ProgramaçãoTipos de Dados
- LinguagensJava
A seguir é apresentado um fragmento de código escrito na linguagem Java.
public static void main(String[] args)
{
char c = 'a';
c = (char) (c + 3);
System.out.println(c);
}
O valor impresso pelo código será:
Provas
Disciplina: TI - Desenvolvimento de Sistemas
Banca: VUNESP
Orgão: Pref. Pindamonhangaba-SP
Com relação ao CSS inline, assinale a alternativa correta.
Provas
Caderno Container