Magna Concursos

Foram encontradas 30 questões.

3834947 Ano: 2024
Disciplina: Matemática
Banca: FACAPE
Orgão: Pref. Petrolina-PE
Preocupada com o consumo de água em sua residência, a senhora Joana verificou nos papeis da conta de água que no mês de dezembro foram consumidos 24,35 m3 de água. Assim ela concluiu que nesse mês, a quantidade de litros de água que foram consumidos foi igual a:
 

Provas

Questão presente nas seguintes provas
3834946 Ano: 2024
Disciplina: Matemática
Banca: FACAPE
Orgão: Pref. Petrolina-PE
Considere um cronômetro digital que não mostra o tempo marcado separando–se as horas os minutos e os segundos, ou seja, apresenta o tempo cronometrado como forma de um número decimal. Portanto quantas horas, minutos e segundos teremos quando esse cronômetro estiver marcando 3,145 h?
 

Provas

Questão presente nas seguintes provas
3834945 Ano: 2024
Disciplina: Matemática Financeira
Banca: FACAPE
Orgão: Pref. Petrolina-PE
Em uma operação a juros simples tem–se o capital de R$ 1.200,00 produzindo juros durante 4 meses, a uma taxa mensal de 1,5%. O valor do montante ao final desse período será:
 

Provas

Questão presente nas seguintes provas
3834944 Ano: 2024
Disciplina: Matemática
Banca: FACAPE
Orgão: Pref. Petrolina-PE
Em um processo seletivo da prefeitura de Petrolina, foi registrado para um determinado cargo, que a concorrência estava em 1 para 125, ou seja, 1 vaga para 125 candidatos. Qual foi o número total de candidatos inscritos para esse cargo, sabendo que ao todo foram oferecidas 15 vagas:
 

Provas

Questão presente nas seguintes provas
3834943 Ano: 2024
Disciplina: Matemática
Banca: FACAPE
Orgão: Pref. Petrolina-PE
Na estante de uma livraria estão expostos à venda 40 livros, sendo alguns de língua portuguesa e outros de matemática. Uma pessoa deseja adquirir todos esses livros e após uma negociação com a livraria, chegou–se ao valor de R$ 20,00 por cada livro de língua portuguesa e R$ 30,00 por cada livro de matemática. Se o total que essa pessoa pagou na aquisição de todos os livros foi R$ 950,00, então a quantidade de livros de matemática que ela comprou foi:
 

Provas

Questão presente nas seguintes provas
3834942 Ano: 2024
Disciplina: Matemática
Banca: FACAPE
Orgão: Pref. Petrolina-PE
Para realizar passeios turísticos por algumas ilhas do rio São Francisco existem dois barcos que transportam os turistas. Um desses barcos sai do ponto de partida realizando sua viagem com destino às ilhas a cada 2 horas. O outro, a cada 3 horas. Suponha que em um domingo ensolarado, as duas embarcações realizaram sua primeira viagem, partindo juntas, às 8 horas da manhã. Que horas essas duas embarcações partirão juntas novamente para levar os turistas às ilhas?
 

Provas

Questão presente nas seguintes provas
3834941 Ano: 2024
Disciplina: Matemática
Banca: FACAPE
Orgão: Pref. Petrolina-PE
Sabe–se que uma equação do 2º grau x2 + x – 20 = 0, possui duas raízes reais e distintas. A maior dessas raízes é igual a:
 

Provas

Questão presente nas seguintes provas
3834940 Ano: 2024
Disciplina: Matemática Financeira
Banca: FACAPE
Orgão: Pref. Petrolina-PE
Maria destina todos os meses a quantia de R$ 2.500,00 para dois tipos de despesas fixas, da seguinte forma: a metade para pagamento do aluguel e a outra metade ela faz questão de colocar em uma caderneta de poupança. Em determinado mês, o valor do aluguel passou a ser R$ 1.500,00. Assim, para não mudar o seu orçamento, Maria depositou apenas o restante do valor, ou seja, R$ 1.000,00 na caderneta de poupança. Dessa forma, o valor depositado por Maria na caderneta de poupança, sofreu uma redução de:
 

Provas

Questão presente nas seguintes provas
3834939 Ano: 2024
Disciplina: Matemática
Banca: FACAPE
Orgão: Pref. Petrolina-PE
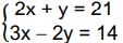
No sistema de equações a seguir, “x” e “y” são a soluções: Enunciado 4754458-1

Assim, o valor de x + y será igual a:
 

Provas

Questão presente nas seguintes provas
3834938 Ano: 2024
Disciplina: Matemática
Banca: FACAPE
Orgão: Pref. Petrolina-PE
Três competidores de jogos eletrônicos estão disputando uma das fases do jogo. Os jogadores “A”, “B” e “C” permaneceram jogando durante 5, 7 e 8 minutos, respectivamente. O número total de pontos marcados pelos jogadores foi diretamente proporcional ao tempo que cada um permaneceu realizando a sua jogada. Ao final, constataram que o jogador “C”, sozinho, havia somado 12.000 pontos. Portanto, o total de pontos marcados pelos três competidores foi igual a:
 

Provas

Questão presente nas seguintes provas