Foram encontradas 60 questões.
Leia o texto a seguir.
A Lei de Resfriamento de Newton, que descreve como a temperatura de um objeto muda ao longo do tempo em relação à temperatura ambiente, pode ser dada pela formula T(t) = TA − (T0 − TA)e−kt ,t ≥ 0, em que Ta é a temperatura ambiente, e T0 = T(0) é a temperatura inicial do objeto.
Um corpo foi encontrado foi encontrado em um quarto com temperatura ambiente de 17 graus Celsius. No momento da descoberta, o corpo media 27 graus Celsius, e uma hora após a descoberta, o corpo media 22 graus Celsius. Supondo que a temperatura inicial do corpo era de 37 graus Celsius, quanto tempo se passou entre a morte e o momento em que o corpo foi encontrado?
A Lei de Resfriamento de Newton, que descreve como a temperatura de um objeto muda ao longo do tempo em relação à temperatura ambiente, pode ser dada pela formula T(t) = TA − (T0 − TA)e−kt ,t ≥ 0, em que Ta é a temperatura ambiente, e T0 = T(0) é a temperatura inicial do objeto.
Um corpo foi encontrado foi encontrado em um quarto com temperatura ambiente de 17 graus Celsius. No momento da descoberta, o corpo media 27 graus Celsius, e uma hora após a descoberta, o corpo media 22 graus Celsius. Supondo que a temperatura inicial do corpo era de 37 graus Celsius, quanto tempo se passou entre a morte e o momento em que o corpo foi encontrado?
Provas
Questão presente nas seguintes provas
Leia o texto a seguir.
A intensidade sonora pode ser medida em decibéis pela seguinte fórmula: N = 10 ∙ log10 ( I / I0 ), em que I0 = 10−12 watt por metro quadrado, é o limiar de audibilidade.
Em algumas cidades brasileiras, são tolerados barulhos de até 55 decibéis após as 22 horas. O valor de I, para o qual atinge-se este limite de 55 decibéis é igual a
A intensidade sonora pode ser medida em decibéis pela seguinte fórmula: N = 10 ∙ log10 ( I / I0 ), em que I0 = 10−12 watt por metro quadrado, é o limiar de audibilidade.
Em algumas cidades brasileiras, são tolerados barulhos de até 55 decibéis após as 22 horas. O valor de I, para o qual atinge-se este limite de 55 decibéis é igual a
Provas
Questão presente nas seguintes provas
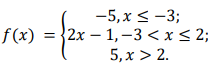
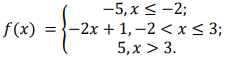
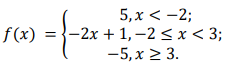
A função f(x) = |x − 3| −|x + 2|, x ∈ ℝ, pode serrepresentada por
Provas
Questão presente nas seguintes provas
3468236
Ano: 2024
Disciplina: Raciocínio Lógico
Banca: Verbena
Orgão: Pref. Padre Bernardo-GO
Disciplina: Raciocínio Lógico
Banca: Verbena
Orgão: Pref. Padre Bernardo-GO
Provas:
Certo produto oferecido no mercado terá o preço unitário, em
reais, dado por p(x) = 100 − 0,2x, quando 1000x unidades
forem vendidas. O custo, em milhares de reais, para produzir
1000x unidades é dado por C(x) = 3x 2 + 4x +400. O maior
lucro com a venda desse produto será obtido quando forem
vendidas
Provas
Questão presente nas seguintes provas
O conjunto solução da inequação −2x2 − 4x + 6 ≥ 0 é
igual a:
Provas
Questão presente nas seguintes provas
Uma empresa fornece dois planos de dados para acesso à
internet. O primeiro plano de internet tem uma taxa fixa de
R$ 50 e um valor de R$ 12 para cada pacote extra de 100
megabytes consumido; já o segundo plano tem um valor fixo
de R$ 130,00 mais uma taxa fixa de R$ 1,80 por cada pacote
extra de 100 megabytes consumidos. De acordo com os
valores dos planos de dados,
Provas
Questão presente nas seguintes provas
Três pedreiros conseguem fazer 10 metros quadrados de
paredes em 2 dias. Mantendo o mesmo ritmo de trabalho,
quantos pedreiros seriam necessários para produzir 50
metros quadrados de paredes em 3 dias?
Provas
Questão presente nas seguintes provas
Um avião gasta 1 hora e 12 minutos para percorrer um
trecho com uma velocidade média de 1.000 km/h. Outro
avião que percorre o mesmo trecho em 50 minutos terá uma
velocidade média igual a
Provas
Questão presente nas seguintes provas
3468231
Ano: 2024
Disciplina: Raciocínio Lógico
Banca: Verbena
Orgão: Pref. Padre Bernardo-GO
Disciplina: Raciocínio Lógico
Banca: Verbena
Orgão: Pref. Padre Bernardo-GO
Provas:
- Lógica ProposicionalEquivalências Lógicas
- Lógica ProposicionalNegação de Proposições CompostasLeis de De Morgan
A negação da sentença “Todo domingo de sol eu vou à
praia” é:
Provas
Questão presente nas seguintes provas
Observe a figura a seguir.

Disponível em: <
https://portal.stf.jus.br/textos/verTexto.asp?servico=bibliotecaConsultaProdut
oBibliotecaSimboloJustica&pagina=balanca>. Acesso em: 23 set. 2024.
Dentre nove esferas de igual aparência, há oito com mesmo peso e uma mais leve. Usando uma balança de equilíbrio, que detecta apenas diferença de massa, o número mínimo de pesagens para detectar a esfera mais leve é igual a
Provas
Questão presente nas seguintes provas
Cadernos
Caderno Container