Magna Concursos

Foram encontradas 1.314 questões.

3486067 Ano: 2024
Disciplina: Engenharia Civil
Banca: UPENET/IAUPE
Orgão: Pref. Olinda-PE
Provas:
Precisando concretar uma placa de concreto, em uma via, com as dimensões de 4,00 m x 3,00 m x 0,30 m, qual o volume de concreto, em m3 , que precisa ser solicitado na concreteira?
 

Provas

Questão presente nas seguintes provas
3486066 Ano: 2024
Disciplina: Matemática
Banca: UPENET/IAUPE
Orgão: Pref. Olinda-PE
Provas:
Em uma praça existe um canteiro central, em forma de círculo, de raio 20,0 m. A área total desse canteiro, em m2 , é igual a
Dado: π = 3,14
 

Provas

Questão presente nas seguintes provas
3486065 Ano: 2024
Disciplina: Matemática
Banca: UPENET/IAUPE
Orgão: Pref. Olinda-PE
Provas:
Um terreno trapezoidal tem uma frente de 20,0 m, um lado de 35,0 m e o outro 45,0 m. A área desse terreno, em m2, é igual a
 

Provas

Questão presente nas seguintes provas
3486064 Ano: 2024
Disciplina: Engenharia Civil
Banca: UPENET/IAUPE
Orgão: Pref. Olinda-PE
Provas:
Os cuidados tomados com o concreto, desde quando colocados na forma até que sua idade chegue, pelo menos, a quinze dias, é denominado de
 

Provas

Questão presente nas seguintes provas
3486063 Ano: 2024
Disciplina: Engenharia Civil
Banca: UPENET/IAUPE
Orgão: Pref. Olinda-PE
Provas:
A consistência do concreto fresco é uma propriedade, que está relacionada a sua maior ou menor facilidade de deformação, isto é, sua maior ou menor plasticidade.
O método mais usual, de fácil execução e interpretação é o ensaio de consistência pelo(a)
 

Provas

Questão presente nas seguintes provas
3486062 Ano: 2024
Disciplina: Engenharia Civil
Banca: UPENET/IAUPE
Orgão: Pref. Olinda-PE
Provas:
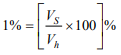
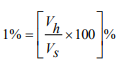
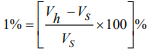
Sabendo-se que Vs é o volume da areia seca, e Vh é o volume de areia úmida, o coeficiente de inchamento da areia é calculado por
 

Provas

Questão presente nas seguintes provas
3486061 Ano: 2024
Disciplina: Engenharia Civil
Banca: UPENET/IAUPE
Orgão: Pref. Olinda-PE
Provas:
O agregado cujos grãos passam pela peneira 4,8 mm, mas ficam retidos na peneira 0,15 mm, é denominado
 

Provas

Questão presente nas seguintes provas
3486060 Ano: 2024
Disciplina: Engenharia Civil
Banca: UPENET/IAUPE
Orgão: Pref. Olinda-PE
Provas:
O material resultante da mistura de aglomerante, água e agregado miúdo é denominado de
 

Provas

Questão presente nas seguintes provas
3486059 Ano: 2024
Disciplina: Engenharia Civil
Banca: UPENET/IAUPE
Orgão: Pref. Olinda-PE
Provas:
O grupo de materiais, formados em sua maioria por ligações iônicas e covalentes e que apresentam as seguintes características dominantes: elevada dureza, alta densidade, alto ponto de fusão e ebulição, alta fragilidade e, em geral, são isolantes térmicos e elétricos, é denominado de
 

Provas

Questão presente nas seguintes provas
3486058 Ano: 2024
Disciplina: Pedagogia
Banca: UPENET/IAUPE
Orgão: Pref. Olinda-PE
Provas:
Analise as afirmativas a seguir referentes aos Movimentos Sociais.

I. Os movimentos sociais no Brasil foram instituídos na década de 1990.

II. Na história dos movimentos sociais no Brasil, podemos inferir suas origens desde as organizações dos indígenas e dos negros escravizados.

III. Entre os anos de 1961 e 1964, surgiram movimentos ligados aos trabalhadores rurais, dos quais se destacam as Ligas dos Camponeses do Nordeste, o Movimento dos Agricultores Sem Terra (Master) e os já citados MEB e CPCs, entre tantos outros.

IV. Nos anos 1970, as Comunidades Eclesiais de Bases (CEBs) contribuíram para a organização de diversos movimentos que reivindicavam direitos humanos fundamentais, como saúde, moradia, emprego, cultura, educação, entre outros.

V. Na década de 1980, houve um esvaziamento das lutas dos movimentos sociais no país.


Está CORRETO o que se afirma em
 

Provas

Questão presente nas seguintes provas