Foram encontradas 379 questões.
Quantos números de 4 algarismos diferentes podemos escrever com os algarismos 1,2,4,6,7,8 e
9?
Provas
Questão presente nas seguintes provas
Quantos anagramas existem na palavra BARBOSINHA?
Provas
Questão presente nas seguintes provas
Sendo
marque a alternativa que corresponde a matriz X, tal que
X = A – B
marque a alternativa que corresponde a matriz X, tal que
X = A – BProvas
Questão presente nas seguintes provas
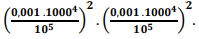
Marque a alternativa que corresponde o resultado da expressão 

Provas
Questão presente nas seguintes provas
Simplifique a expressão
e marque a alternativa que corresponde ao seu
resultado:
e marque a alternativa que corresponde ao seu
resultado:Provas
Questão presente nas seguintes provas
Analise as afirmativas abaixo e marque a alternativa que corresponde as afirmações CORRETAS:
I. A expressão √4 + √9 + √1 tem como resposta o valor 7
II. A expressão 2 /√8 tem como resposta a expressão √2/ 2
III. A expressão √(−3) 2 + (−2) 6 − (−2,4) + 8 tem como resposta o valor 8
I. A expressão √4 + √9 + √1 tem como resposta o valor 7
II. A expressão 2 /√8 tem como resposta a expressão √2/ 2
III. A expressão √(−3) 2 + (−2) 6 − (−2,4) + 8 tem como resposta o valor 8
Provas
Questão presente nas seguintes provas
Qual será o valor que m precisará assumir na equação de segundo grau 6x² - m.x + 7 = 0, para que
a soma de suas raízes seja igual a 21?
Provas
Questão presente nas seguintes provas
Na loja de materiais elétricos da Ana Maria, os eletrônicos têm o preço modelado pela equação do
segundo grau y = - 2x² + 9x - 4, onde x é medido em meses, e y, em centenas de reais. Nessas
condições, em quanto tempo aproximado os eletrônicos alcançaram o seu maior valor?
Provas
Questão presente nas seguintes provas
Em um asilo, 1 funcionário consegue limpar a área do jardim retangular com dimensões de 12m x
10m em 4 horas. Qual será o tempo que 2 funcionários levaram para limpar o jardim, sabendo que
a área do jardim foi aumentada em 25%?
Provas
Questão presente nas seguintes provas
3299308
Ano: 2024
Disciplina: Inglês (Língua Inglesa)
Banca: Instituto JK
Orgão: Pref. Nina Rodrigues-MA
Disciplina: Inglês (Língua Inglesa)
Banca: Instituto JK
Orgão: Pref. Nina Rodrigues-MA
Provas:
Identify the sentence with the correct personal pronoun:
Provas
Questão presente nas seguintes provas
Cadernos
Caderno Container