Foram encontradas 900 questões.
No projeto das instalações elétricas de uma residência, foi previsto um circuito em um trecho retilíneo e contínuo de tubulação em área externa. Sem interposição de caixas ou equipamentos, o comprimento máximo desse trecho é de:
Provas
A planeza e o prumo do revestimento interno em gesso aplicado em paredes e tetos não podem apresentar distorção maior que X mm a cada Y m, a ser verificada com o emprego de régua e fio de prumo. A soma X+Y é igual a:
Provas
Na execução de base de solo cimento de um pavimento, imediatamente antes da compactação, na pista, é necessária uma determinação do teor de umidade a cada
Provas
Disciplina: Segurança e Saúde no Trabalho (SST)
Banca: VUNESP
Orgão: Pref. Mogi Cruzes-SP
De acordo com a NR18, a escada fixa vertical deve ter
Provas
Em projetos de prevenção de combate a incêndio, há uma série de símbolos gráficos para identificar os elementos da obra. O símbolo da figura representa

Provas
Nos desenhos para obras de concreto simples ou armado, as lajes, as paredes e as sapatas são representadas, respectivamente, por:
Provas
Na implantação de aterros, há necessidade de se classificarem os resíduos para a triagem. São de classe B os resíduos
Provas
Disciplina: Direito Administrativo
Banca: VUNESP
Orgão: Pref. Mogi Cruzes-SP
A partir do disposto na Lei nº 8.666, de 21 de junho de 1993, e no Decreto nº 9.412, de 18 de junho de 2018, nas licitações de obras e serviços de engenharia, o valor máximo na modalidade convite é:
Provas
Considere que por m2 do revestimento com emboço de alvenaria de uma construção são necessários 0,60 h de pedreiro (R$ 15,00/h), 0,80 h de servente (R$ 10,00/h), 0,02 m3 de areia (R$ 150,00/m3), 4,00 kg de cal hidratada (R$ 3,00/kg), 2,0 kg de cimento (R$ 5,00/kg). Se os encargos sociais sobre a mão de obra são de 125%, então o custo do metro quadrado de emboço, em reais, é:
Provas
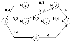
Ao planejar um serviço de engenharia, o cronograma de redes permite verificar o caminho crítico. Na figura, as atividades estão representadas por letras, seguidas pelo seu tempo de execução, em dias.

O tempo de conclusão desse serviço, em dias, é:
Provas
Caderno Container