Foram encontradas 50 questões.
A contagem do número total de microrganismos mesofílicos permite determinar o número total de bactérias mesofílicas e fungos em produtos e matérias primas não estéreis e deve ser aplicado para determinar se o produto satisfaz às exigências microbiológicas farmacopeicas. Quando se espera que o produto apresente uma baixa densidade bacteriana, recomenda-se fazer a contagem pelo método
Provas
No teste de controle de qualidade para determinação do volume de produtos líquidos em recipientes para doses múltiplas (exceto injetáveis), devem ser testadas unidades conforme o procedimento descrito na Farmacopeia Brasileira. A partir dos volumes obtidos, deve-se calcular o volume médio das unidades testadas. Para ser aprovado, o volume médio não pode ser ao volume declarado e nenhuma das unidades testadas pode ser inferior a do volume declarado.
Assinale a alternativa que completa correta e respectivamente as lacunas.
Provas
Preparações do tipo “todos em um” ou “3 em 1” são definidas como Nutrição Parenteral Total que, além da combinação de aminoácidos tradicionais e glicose com eletrólitos, contêm
Provas
Um paciente em internação hospitalar recebeu a prescrição de 10.000 unidades/250mL de heparina sódica para infusão intravenosa por 4 horas. Sabendo que a bomba de administração iv libera 60 gotas/mL, é correto afirmar que a taxa do fluxo, em gotas/minuto é
Provas
Assinale a alternativa correta sobre a viscosidade e o uso de agentes de viscosidade em formulações farmacêuticas.
Provas
A neuraminidase viral é uma das três proteínas transmembranas codificadas pelo genoma do vírus influenza e essa proteína é fundamental para que a partícula viral entre na célula do hospedeiro. Dessa forma, alguns inibidores de neuraminidase, como e têm sido utilizados no tratamento e prevenção das infecções provocadas pelo vírus influenza.
Assinale a alternativa que completa correta e respectivamente as lacunas.
Provas
Entre os fármacos antiarrítmicos, são considerados de classe I, que bloqueiam os canais de sódio sensíveis à voltagem,
Provas
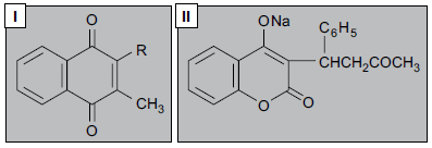
A imagem a seguir apresenta a vitamina K (I) e seu antagonista (II), um fármaco anticoagulante, utilizado na prevenção da trombose.

O fármaco II é
Provas
Assinale a alternativa que contém apenas fármacos indicados na profilaxia da enxaqueca.
Provas
A ocorrência de interações medicamentosas com fitoterápicos pode ser maior do que aquela que ocorre com medicamentos, pois estes normalmente contêm substâncias químicas simples, enquanto quase todas as plantas contêm misturas de substâncias farmacologicamente ativas. Casos de síndrome serotoninérgica podem ocorrer a partir da interação entre inibidores seletivos da recaptação de serotonina com
Provas
Caderno Container