Foram encontradas 341 questões.
3957443
Ano: 2025
Disciplina: Agronomia (Engenharia Agronômica)
Banca: URCA
Orgão: Pref. Lavras Mangabeira-CE
Disciplina: Agronomia (Engenharia Agronômica)
Banca: URCA
Orgão: Pref. Lavras Mangabeira-CE
Provas:
Os solos desempenham diversas
funções essenciais para a vida na Terra. Com relação a essas funções, assinale a alternativa incorreta.
Provas
Questão presente nas seguintes provas
3957442
Ano: 2025
Disciplina: Agronomia (Engenharia Agronômica)
Banca: URCA
Orgão: Pref. Lavras Mangabeira-CE
Disciplina: Agronomia (Engenharia Agronômica)
Banca: URCA
Orgão: Pref. Lavras Mangabeira-CE
Provas:
Qual o principal pré-requisito para iniciar um programa de melhoramento genético?
Provas
Questão presente nas seguintes provas
3957441
Ano: 2025
Disciplina: Agronomia (Engenharia Agronômica)
Banca: URCA
Orgão: Pref. Lavras Mangabeira-CE
Disciplina: Agronomia (Engenharia Agronômica)
Banca: URCA
Orgão: Pref. Lavras Mangabeira-CE
Provas:
As práticas agroecológicas são utilizadas como uma possibilidade de promover a sustentabilidade no meio rural. Em relação aos princípios
que norteiam essas práticas, marque a alternativa correta.
Provas
Questão presente nas seguintes provas
3957440
Ano: 2025
Disciplina: Agronomia (Engenharia Agronômica)
Banca: URCA
Orgão: Pref. Lavras Mangabeira-CE
Disciplina: Agronomia (Engenharia Agronômica)
Banca: URCA
Orgão: Pref. Lavras Mangabeira-CE
Provas:
Os fatores de formação do solo atuam de forma conjunta e dinâmica, resultando na diversidade de solos presentes em diferentes ambientes.
Marque a alternativa incorreta.
Provas
Questão presente nas seguintes provas
3957439
Ano: 2025
Disciplina: Raciocínio Lógico
Banca: URCA
Orgão: Pref. Lavras Mangabeira-CE
Disciplina: Raciocínio Lógico
Banca: URCA
Orgão: Pref. Lavras Mangabeira-CE
Provas:
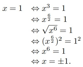
As equações que aparecem na cadeia de equivalências lógicas tem conjunto universo nos reais.

A conclusão aparente é que ![]()
Provas
Questão presente nas seguintes provas
3957438
Ano: 2025
Disciplina: Raciocínio Lógico
Banca: URCA
Orgão: Pref. Lavras Mangabeira-CE
Disciplina: Raciocínio Lógico
Banca: URCA
Orgão: Pref. Lavras Mangabeira-CE
Provas:
Uma pesquisa foi realizada entre
atletas de natação de um clube. Os estilos de nado investigados foram: borboleta (B), costas (C), peito (P) e
crawl (Cr). O diagrama de Venn abaixo ilustra os resultados, e há atletas representados em todas as regiões do diagrama.
Com base na representação do diagrama de Venn, que possui elementos em todas as suas regiões, assinale a única afirmação que deve ser necessariamente verdadeira:
Com base na representação do diagrama de Venn, que possui elementos em todas as suas regiões, assinale a única afirmação que deve ser necessariamente verdadeira:
Provas
Questão presente nas seguintes provas
3957437
Ano: 2025
Disciplina: Raciocínio Lógico
Banca: URCA
Orgão: Pref. Lavras Mangabeira-CE
Disciplina: Raciocínio Lógico
Banca: URCA
Orgão: Pref. Lavras Mangabeira-CE
Provas:
A Prefeitura de Lavras da Mangabeira fez uma pesquisa sobre a participação dos servidores em cursos de capacitação. Selecionou-se um servidor aleatoriamente.
Considere os seguintes eventos:
• A : o servidor participou do curso de gestão pública
• B : o servidor participou do curso de informática básica
• C : o servidor participou do curso de atendimento ao cidadão
Qual das expressões seguintes designa o acontecimento: “o servidor não participou do curso de gestão pública, não participou do curso de informática básica, mas participou do curso de atendimento ao cidadão”?
Considere os seguintes eventos:
• A : o servidor participou do curso de gestão pública
• B : o servidor participou do curso de informática básica
• C : o servidor participou do curso de atendimento ao cidadão
Qual das expressões seguintes designa o acontecimento: “o servidor não participou do curso de gestão pública, não participou do curso de informática básica, mas participou do curso de atendimento ao cidadão”?
Provas
Questão presente nas seguintes provas
3957436
Ano: 2025
Disciplina: Raciocínio Lógico
Banca: URCA
Orgão: Pref. Lavras Mangabeira-CE
Disciplina: Raciocínio Lógico
Banca: URCA
Orgão: Pref. Lavras Mangabeira-CE
Provas:
Para realizar o conserto de uma placa eletrônica, o técnico precisava apertar quatro parafusos. O manual tinha as seguintes instruções:
• Se não apertar o parafuso Y, não aperte o parafuso Z.
• Se apertar o parafuso Z, não aperte o parafuso W.
• Se apertar o parafuso X, não aperte o parafuso Y.
Seguindo essas instruções, o técnico pode tentar realizar o conserto fazendo:
Provas
Questão presente nas seguintes provas
3957435
Ano: 2025
Disciplina: Raciocínio Lógico
Banca: URCA
Orgão: Pref. Lavras Mangabeira-CE
Disciplina: Raciocínio Lógico
Banca: URCA
Orgão: Pref. Lavras Mangabeira-CE
Provas:
“O Município de Lavras da
Mangabeira faz parte do estado do Ceará e integra o território nacional”, identifica-se o emprego de um conectivo lógico que estabelece uma relação entre proposições. Há diversos conectivos lógicos, cada um criando um tipo distinto de vínculo entre proposições. Diante disso, assinale a alternativa que apresenta uma
estrutura lógica de bicondicional.
Provas
Questão presente nas seguintes provas
Lavras da Mangabeira destaca-se por suas belezas naturais e patrimônio cultural. Entre seus principais atrativos turísticos, encontra-se o
Boqueirão do Rio Salgado, também conhecido como Boqueirão de Lavras. Essa feição, formado pela ação erosiva do Rio Salgado, apresenta imponentes paredes
rochosas e uma gruta homônima, sendo um importante ponto de ecoturismo na região. Considerando este contexto turístico de Lavras da Mangabeira, é correto afirmar que:
Provas
Questão presente nas seguintes provas
Cadernos
Caderno Container