Foram encontradas 50 questões.
Com respeito ao gráfico da equação x2 + y2 + 2xy = 1, assinale a alternativa correta.
Provas
Seja P = (a, b) o ponto de tangência entre a reta s e a parábola definida pela equação 4y = 12x2 − 1. Sabendo que a reta s é paralela à reta y = 3x, determine o valor de a + b.
Provas
O valor do determinante da matriz

Provas
Seja A = [aij] uma matriz 2 × 2 dada por aij = e(i−1)x · δij , onde

Se det A = 2, calcule o valor da matriz x · Y no sistema
A · Y = B, onde B = ![]()
Provas
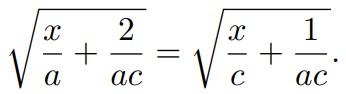
Sejam a e c números reais distintos e não nulo. Determine a solução da equação irracional

Provas
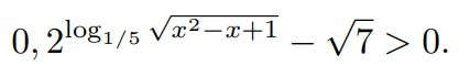
Resolva a inequação

Provas
Considere o polinômio p (x) = x4 − 2x3 − x2 + 4x − 2. É correto afirmar:
Provas
Considere a sequencia

O valor de x = − log2025 (log2025 a2025) é:
Provas
Provas
Sejam a e b números reais positivos tais que a > b. Considere os pontos O = (0, 0), P = (1, a) e Q = (1, b). Determine as condições que as coordenadas x e y de um ponto A = (x, y) devem satisfazer para que A esteja no interior do ângulo ∠POQ,
isto é, no interior da região convexa delimitada pelas semiretas
e
.
Provas
Caderno Container