Magna Concursos

Foram encontradas 30 questões.

4061501 Ano: 2026
Disciplina: Matemática
Banca: COTEC
Orgão: Pref. Juvenília-MG
Provas:
Considere que f(4) = 2 e Enunciado 4541233-1 Logo, pode-se afirmar que
 

Provas

Questão presente nas seguintes provas
4061500 Ano: 2026
Disciplina: Matemática
Banca: COTEC
Orgão: Pref. Juvenília-MG
Provas:
O resultado do limite Enunciado 4541232-1 é
 

Provas

Questão presente nas seguintes provas
4061499 Ano: 2026
Disciplina: Matemática
Banca: COTEC
Orgão: Pref. Juvenília-MG
Provas:
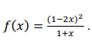
Considere a função  Enunciado 4541231-1 Um valor de x para o qual a derivada primeira é igual a 0, isto é, f´(x) = 0, é:
 

Provas

Questão presente nas seguintes provas
4061498 Ano: 2026
Disciplina: Matemática
Banca: COTEC
Orgão: Pref. Juvenília-MG
Provas:
Os termos x, y e z formam uma progressão aritmética crescente, enquanto os termos x, y+2 e z+8 formam uma progressão geométrica. Sabendo-se que y=22, qual o valor da soma dos termos da progressão geométrica?
 

Provas

Questão presente nas seguintes provas
4061497 Ano: 2026
Disciplina: Matemática
Banca: COTEC
Orgão: Pref. Juvenília-MG
Provas:
O valor da expressão trigonométrica cos ( 5π/3 ) cos ( π/3 ) + sen ( 5π/3 ) sen ( π/3 ) é equivalente a
 

Provas

Questão presente nas seguintes provas
4061496 Ano: 2026
Disciplina: Matemática
Banca: COTEC
Orgão: Pref. Juvenília-MG
Provas:
Marque a alternativa que apresenta todas as soluções da inequação logarítmica log3 x − 2 +log3 x − 3 > 2.
 

Provas

Questão presente nas seguintes provas
4061495 Ano: 2026
Disciplina: Matemática
Banca: COTEC
Orgão: Pref. Juvenília-MG
Provas:
A composição da função f(x) = 1/1−x com a função g(x) resultou na função identidade. Sendo assim, pode-se afirmar que:
 

Provas

Questão presente nas seguintes provas
4061494 Ano: 2026
Disciplina: Matemática
Banca: COTEC
Orgão: Pref. Juvenília-MG
Provas:
Considere a função f(x) = 3xsen(x). É CORRETO afirmar que a função
 

Provas

Questão presente nas seguintes provas
4061493 Ano: 2026
Disciplina: Matemática
Banca: COTEC
Orgão: Pref. Juvenília-MG
Provas:
Para provar que 1 + 2 + … + Enunciado 4541225-1 para todo n ≥ m usando o princípio da indução finita e k na hipótese de indução, um dos passos é
 

Provas

Questão presente nas seguintes provas
4061492 Ano: 2026
Disciplina: Raciocínio Lógico
Banca: COTEC
Orgão: Pref. Juvenília-MG
Provas:

Considere os conjuntos A={1, {2,3}, {4}} e B={a, b, {e,d}} e marque a alternativa CORRETA.

Nomenclaturas:

∈: pertence

c: contido

x: cartesiano

 

Provas

Questão presente nas seguintes provas