Magna Concursos

Foram encontradas 365 questões.

2756513 Ano: 2023
Disciplina: Matemática
Banca: FGV
Orgão: Pref. Jaboatão dos Guararapes-PE
Provas:
Leonardo aplicou todo o seu dinheiro em Títulos do Tesouro Nacional e, depois de um ano, retirou tudo com lucro de 12,5%. Em seguida, ele aplicou todo o valor sacado em ações na Bolsa de Valores. Alguns meses depois, verificou que sua nova aplicação teve perdas e que o valor que possuía em ações era igual ao que tinha aplicado originalmente em Tesouro.
Pode-se afirmar que a aplicação em ações teve, até aquele momento, uma perda de aproximadamente
 

Provas

Questão presente nas seguintes provas
2756512 Ano: 2023
Disciplina: Matemática
Banca: FGV
Orgão: Pref. Jaboatão dos Guararapes-PE
Provas:
Em uma Progressão Geométrica infinita, o 20° termo é 4 − 2√2 e o 39° termo é 40 − 28√2. Assim, o 1° termo é igual a
 

Provas

Questão presente nas seguintes provas
2756511 Ano: 2023
Disciplina: Matemática
Banca: FGV
Orgão: Pref. Jaboatão dos Guararapes-PE
Provas:
Seja Q = 101,111. .. uma dízima periódica e R a centésima parte de Q. O valor de Q−R / 99 vale
 

Provas

Questão presente nas seguintes provas
2756510 Ano: 2023
Disciplina: Matemática
Banca: FGV
Orgão: Pref. Jaboatão dos Guararapes-PE
Provas:

Seja r uma reta no espaço descrita pelas seguintes equações paramétricas:

Enunciado 3540479-1

Assinale a opção que indica um plano perpendicular a r.

 

Provas

Questão presente nas seguintes provas
2756509 Ano: 2023
Disciplina: Matemática
Banca: FGV
Orgão: Pref. Jaboatão dos Guararapes-PE
Provas:
Sejam A(2,4) e B(4, k) pontos do plano cartesiano. O segmento Enunciado 3540478-1 faz um ângulo de 75° com o sentido positivo do eixo das abscissas.
O comprimento da projeção ortogonal de Enunciado 3540478-2 sobre a reta y = x, em unidades de comprimento é
Dado: tg(75°) = 2 + √3
 

Provas

Questão presente nas seguintes provas
2756508 Ano: 2023
Disciplina: Matemática
Banca: FGV
Orgão: Pref. Jaboatão dos Guararapes-PE
Provas:

Em qualquer poliedro convexo com V vértices, A arestas e F faces, são válidas as relações

V + F = A + 2

2A = 3 ∙ F 3 + 4 ∙ F 4 + 5 ∙ F 5 + …

F = F 3 + F 4 + F 5 + …

Com base nessas informações, é possível concluir que, em todo poliedro convexo,

 

Provas

Questão presente nas seguintes provas
2756507 Ano: 2023
Disciplina: Matemática
Banca: FGV
Orgão: Pref. Jaboatão dos Guararapes-PE
Provas:
A fórmula resolutiva para equações polinomiais de 2º grau, popularmente conhecida como “Fórmula de Báscara”, é, sem dúvida, a técnica mais usada nesse tipo de problema. Entretanto, é possível resolvê-las por meio de fatorações. Nesse caso, o trinômio quadrado perfeito é um grande aliado.
Por exemplo, na equação polinomial do 2º grau
3x 2 - 7x = π
o primeiro membro pode ser transformado em um trinômio quadrado perfeito pela adição, em ambos os lados da igualdade, do número
 

Provas

Questão presente nas seguintes provas
2756506 Ano: 2023
Disciplina: Matemática
Banca: FGV
Orgão: Pref. Jaboatão dos Guararapes-PE
Provas:
Seja ABCDEF um hexágono regular convexo de lados medindo 2 cm, com os vértices A e D; B e E; C e F sendo pares opostos. Seja ainda M o ponto médio do lado DE. A medida do segmento AM, em centímetros, é a raiz quadrada de
 

Provas

Questão presente nas seguintes provas
2756505 Ano: 2023
Disciplina: Matemática
Banca: FGV
Orgão: Pref. Jaboatão dos Guararapes-PE
Provas:
As figuras a seguir ilustram uma sequência de passos de uma construção geométrica.
Enunciado 3540474-1
O ângulo G ĉ B vale
 

Provas

Questão presente nas seguintes provas
2756504 Ano: 2023
Disciplina: Matemática
Banca: FGV
Orgão: Pref. Jaboatão dos Guararapes-PE
Provas:

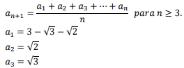
Considere a sequência de números reais definida pela seguinte relação de recorrência:

Enunciado 3540473-1

Sobre essa sequência, é correto afirmar que

 

Provas

Questão presente nas seguintes provas