Foram encontradas 40 questões.
Seja a função f(x) = mx + n, tal que f(6) = 7 e f(1) = 21. Marque a alternativa correta:
Provas
Questão presente nas seguintes provas
Flávia recebeu dois aumentos consecutivos de 20% em seu salário. Se atualmente, ela recebe x reais, quanto recebia
antes destes aumentos?
Provas
Questão presente nas seguintes provas
Se a função do 2º grau y = Kx2 + (2K – 1) x + K tem concavidade voltada para baixo e duas raízes reais e distintas,
então:
Provas
Questão presente nas seguintes provas
Uma fração é tal que, se aumentar 1 no numerador, se igualará a 1 e se diminuir 4 no denominador, se igualará a 2.
Assim, a soma dos termos desta fração é um número:
Provas
Questão presente nas seguintes provas
Dentro de uma caixa em forma de cubo encontra-se uma segunda caixa também em formato cúbico, ocupando
12,5% do volume da maior. Assinale a razão entre as arestas destas duas caixas:
Provas
Questão presente nas seguintes provas
O gráfico da função
contém o vértice da parábola do gráfico da função quadrática f(x) = x2 + px – 7, em que p é um número inteiro. Sendo assim, qual é o valor de p?
contém o vértice da parábola do gráfico da função quadrática f(x) = x2 + px – 7, em que p é um número inteiro. Sendo assim, qual é o valor de p?Provas
Questão presente nas seguintes provas
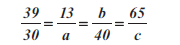
Assinale a soma de a, b e c na proporção dada abaixo:

Provas
Questão presente nas seguintes provas
Sejam x o número de divisores naturais não primos de 180 e y o número de divisores primos de 150. Assinale o valor
de x + y:
Provas
Questão presente nas seguintes provas
Qual o tempo necessário para que um capital aplicado à taxa de 4% ao mês tenha seu valor dobrado?
Provas
Questão presente nas seguintes provas
1917061
Ano: 2009
Disciplina: Matemática Financeira
Banca: Consulplan
Orgão: Pref. Guarapari-ES
Disciplina: Matemática Financeira
Banca: Consulplan
Orgão: Pref. Guarapari-ES
Provas:
Um capital de R$50.000,00 foi aplicado da seguinte maneira: 40% à taxa de 5% ao mês e o restante à taxa i. Se o
total de juros produzidos em um mês foi de R$2.800,00, qual o valor de i?
Provas
Questão presente nas seguintes provas
Cadernos
Caderno Container