Foram encontradas 1.977 questões.
A figura 1 a seguir representa um retificador monofásico de onda completa a tiristor alimentando uma carga resistiva. A fonte de alimentação é v = Vm sen(ωt). A figura 2 mostra um dos quatro estágios de funcionamento do retificador. Nessa figura, as linhas cheias indicam passagem de corrente. O ângulo de disparo dos tiristores é denominado α.

O estágio de funcionamento mostrado na figura 2, no qual os tiristores T1 e T4 estão em condução, corresponde ao intervalo
Provas
Várias aplicações da eletrônica de potência exigem variações do nível de tensão DC, tanto elevando, quanto reduzindo. O circuito da figura a seguir representa um conversor DC/DC utilizado com a finalidade de variar o nível de tensão DC. A tensão de entrada é Vi e a tensão de saída é Vo.

Esse tipo de conversor é denominado de
Provas
A razão entre a demanda média e a demanda máxima da unidade consumidora ocorridas no mesmo intervalo de tempo especificado é conhecida como fator de
Provas
Um circuito monofásico, tensão eficaz de 220 V (tensão fase-neutro), alimenta uma carga de 4400 W em seus terminais. Os condutores têm isolação PVC, temperatura máxima no condutor de 70oC e a temperatura ambiente de 30oC. Os condutores deste circuito estão inseridos em um eletroduto de PVC embutido em alvenaria (maneira de instalar B1). Em um trecho do eletroduto que transporta o circuito da carga de 4400 W estão mais 2 (dois) circuitos monofásicos. Dimensione os condutores do circuito pelo critério de capacidade de condução de corrente.
A tabela a seguir mostra os dados de um condutor com isolação de PVC, temperatura de operação 70 ºC, maneira de instalar B1 e fatores de correção de agrupamento de circuitos.
Tabela com capacidade de corrente, em ampères, para o método de referência B1 e fatores de correção de agrupamento (NBR 5410/2004).
Capacidade de Corrente dos condutores | Fatores de agrupamento de circuitos | ||
Seção nominal do condutor ( mm2) | Capacidade de condução de corrente do condutor ( A ) | Número de circuitos agrupados | Fator de correção de agrupamento |
1,5 | 17 | 1 | 1,0 |
2,5 | 24 | 2 | 0,8 |
4,0 | 32 | 3 | 0,7 |
6,0 | 41 | 4 | 0,65 |
10,0 | 57 | 5 | 0,6 |
A seção transversal do condutor do circuito que alimenta a carga de 4400 W, utilizando o critério de capacidade de condução de corrente, vale
Provas
Em um transformador monofásico de 50 kVA, 2400/120 V, foram realizados os ensaios de circuito aberto e de curto-circuito. Os dados obtidos foram:
1- Teste com instrumentos no lado de baixa tensão do transformador e lado de alta tensão em circuito aberto:
leitura do wattímetro – 400 W
leitura do amperímetro – 10 A
leitura do voltímetro – 120 V
2- Teste com instrumentos no lado de alta tensão do transformador e lado de baixa tensão em curto-circuito:
leitura do wattímetro – 800 W
leitura do amperímetro – 20 A
leitura do voltímetro – 92 V
A partir desses ensaios, pode-se verificar que a resistência elétrica equivalente referida ao lado de baixa do transformador é
Provas
Os ensaios realizados em transformadores e máquinas elétricas são essenciais para a determinação de parâmetros e indicadores de desempenho desses equipamentos. Um dos parâmetros determinados por meio de ensaios de motores de indução é a perda total por efeito Joule nos enrolamentos. Essa perda é determinada a partir do
Provas
No que se refere às linhas de campo elétrico e de campo magnético, as linhas de campo magnético
Provas
Considere uma espira quadrada estacionária, de 20 cm de lado e resistência elétrica de 10 mΩ, totalmente imersa em um campo magnético ortogonal ao plano da espira. A densidade de fluxo magnético B, em Tesla, varia com o tempo “t”, através da expressão B = 0,5 t. Qual é o módulo da corrente elétrica induzida na espira?
Provas
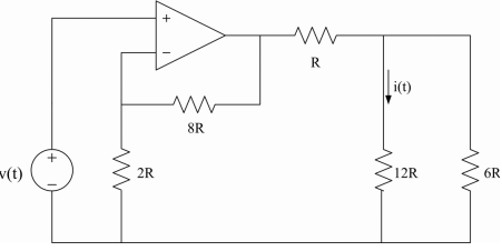
O amplificador operacional da figura a seguir é ideal.

Qual é a corrente i(t) no resistor de valor 12 R da figura?
Provas
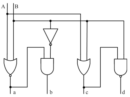
A figura a seguir representa um circuito lógico com duas entradas (A, B) e quatro saídas (a, b, c, d).

Qual é o sinal (A, B) de entrada do circuito que resulta em uma saída (a, b, c, d) = (0, 0, 1, 1)?
Provas
Caderno Container