Foram encontradas 350 questões.
Provas
Provas
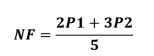
Em uma determinada escola, para obter
a nota média final ao término de um
bimestre, cada aluno deve substituir
as notas de duas provas bimestrais e
substituí-las na equação

em que NF é a nota média final e P1 e P2 são as notas da primeira e da segunda prova bimestral, respectivamente, tais que tanto P1 como P2 têm valoração entre 0 e 10.
Dessa forma, se um aluno obteve a nota 4 na primeira prova bimestral e sabe que, para ser aprovado nesse bimestre, precisa ficar com uma nota média final superior ou igual a 7, então, a nota mínima que ele deve tirar na segunda prova bimestral para ser aprovado, nesse bimestre, será igual a
Provas
Provas
Considerando que log 2 = 0,30 e log 3 = 0,47, o valor da expressão

será igual a
Provas
Considere que, em um experimento de laboratório, o número de bactérias de uma colônia segue a função matemática:
f(t) = a.10t
em que f(t) é o número de bactérias após t minutos, e a é uma constante real. Se em 2 minutos de experimento há 300 bactérias nessa colônia, então em quanto tempo, desde o início do experimento, haverá três milhões de bactérias nessa colônia?
Provas
Provas
Provas
Provas
Provas
Caderno Container