Foram encontradas 1.181 questões.
Como os músculos e os ossos devem se combinar para permitir o movimento corporal, estes dois sistemas são ocasionalmente referidos como o sistema locomotor. O esqueleto adulto é dividido em esqueleto axial e esqueleto apendicular. Assinale a alternativa que corresponde com o método de posicionamento radiológico do esqueleto apendicular.
Provas
O sistema nervoso é composto por cérebro, coluna, nervos, gânglios e órgãos sensoriais especiais, tais como os olhos e os ouvidos. Assinale a alternativa relacionada a sua função.
Provas
Os contrastes são substâncias químicas que têm a função de realçar áreas específicas do corpo, delimitando e diferenciando tecidos normais de lesões ou processos inflamatórios. Assinale a alternativa que corresponde ao contraste utilizado no sistema digestório em caso de fístula.
Provas
A imagem representa a variação da energia livre (energia de Gibbs, ∆G) em função do progresso da reação química. Considere a imagem para resolver as questões 58 e 59.

Na imagem, o ponto que representa o equilíbrio químico da reação é numerado por
Provas
- Química OrgânicaFunções Nitrogenadas: Amina, Amida, Nitrila, Isonitrila e Nitro Composto
- Química OrgânicaFunções Oxigenadas: Álcool, Fenol e Enol
- Química OrgânicaFunções Oxigenadas: Cetona, Aldeído, Éter, Éster, Ácido Carboxílico etc.
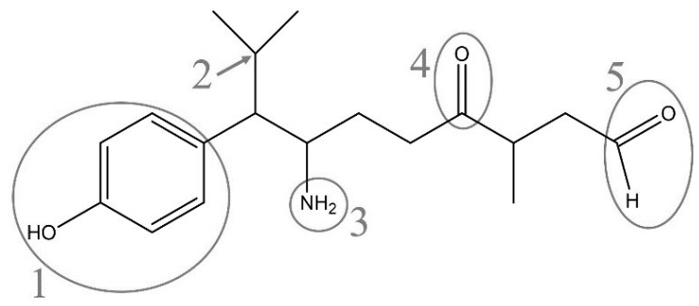
Considere a estrutura química a seguir (e as marcações 1 a 5 expressas) para a resolução das questões 54 a 56.

As funções orgânicas marcadas em 1, 3, 4 e 5 são, respectivamente:
Provas
Considere a estrutura química a seguir (e as marcações 1 a 5 expressas) para a resolução das questões 54 a 56.

Sobre o átomo de carbono marcado em 2, assinale a alternativa incorreta.
Provas
Considere a estrutura química a seguir (e as marcações 1 a 5 expressas) para a resolução das questões 54 a 56.

A fórmula molecular da estrutura química fornecida será de
Provas
Sobre a difusão de substâncias em meios materiais, informe se é verdadeiro (V) ou falso (F) para o que se afirma e assinale a alternativa com a sequência correta.
( ) A primeira Lei de Fick descreve a taxa de difusão de um soluto em um meio estacionário, em termos da concentração do soluto e das propriedades do meio.
( ) A segunda Lei de Fick descreve a difusão transiente de um soluto em um meio em que há variação temporal e espacial da concentração do soluto.
( ) O objetivo principal das Leis de Fick é determinar a taxa de reação química entre duas substâncias.
Provas
A imagem representa a variação da energia livre (energia de Gibbs, ∆G) em função do progresso da reação química. Considere a imagem para resolver as questões 58 e 59.

Considerando a imagem, analise as assertivas e assinale a alternativa correta.
I. O valor de ∆G° produtos > ∆G° reagentes.
II. A constante de equilíbrio será menor que um, e o equilíbrio favorecerá os produtos.
III. Como ∆G° global < 0, o valor da constante de equilíbrio também será menor que zero.
Provas
- Teorias AtômicasModelos Atômicos. Estrutura do Átomo.
- Teorias AtômicasRadioatividade e química nuclear
Assinale a alternativa que preencha corretamente as lacunas.
Quando um núcleo sofre um decaimento alfa, ejeta uma partícula alfa de tal modo que seu número de massa e seu número atômico .
Provas
Caderno Container