Foram encontradas 390 questões.
Observe a sequência a seguir:
x, 2x, 2x + 4, 4x + 8, y, 2y, . . .
Sabendo que o décimo termo dessa sequência equivale a “4c”, então o valor de c equivale a:
Provas
Questão presente nas seguintes provas
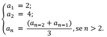
Considere a sequência lógica numérica definida pela seguinte lei de formação:

Assim, para n ∈ ℕ , o sétimo termo dessa sequência é:
Provas
Questão presente nas seguintes provas
Cláudia participou de uma excursão turística que iniciou numa terça-feira e teve 12 dias de duração. Considere que
após cinco dias do término dessa excursão Cláudia voltou a trabalhar. Assim, o dia em que Cláudia retornou ao
trabalho caiu numa:
Provas
Questão presente nas seguintes provas
Uma comissão de torcedores deve ser formada por dois torcedores de cada um dos times A, B e C, totalizando seis
membros, e candidataram-se de cada time, respectivamente, cinco, quatro e seis torcedores. Dessa forma, o número
de maneiras distintas para a formação dessa comissão é:
Provas
Questão presente nas seguintes provas
Relacione adequadamente as colunas a seguir.
1. Óculos.
2. Relógio.
3. Lapiseira.
4. Calçado.
( ) Grafite.
( ) Palmilha.
( ) Lente.
( ) Ponteiro.
A sequência está correta em
Provas
Questão presente nas seguintes provas
Analise a frase a seguir: “Mariana não conseguiu ___________ pois estava __________________.” Assinale a
alternativa que NÃO completa corretamente a afirmativa anterior.
Provas
Questão presente nas seguintes provas
Considere a seguinte sequência:
(1.735, ?, 437, 220, 111, 56)
Qual alternativa substitui a interrogação apresentada?
Provas
Questão presente nas seguintes provas
Um evento regional realizado para colecionadores reuniu três tipos de colecionadores: selos, moedas e tampinhas de bebidas. Ao chegar ao evento, os participantes assinaram uma lista indicando quais eram seus objetos de coleção. Ao final do evento, constatou-se que:
•138 participaram do evento;
•74 colecionam selo;
•77 colecionam moedas;
•80 colecionam tampinhas de bebidas;
•9 colecionam outros tipos de itens;
•34 colecionam selos e moedas;
•35 colecionam moedas e tampinhas de bebidas;
•33 colecionam selos e tampinhas de bebidas;e,
•3colecionam selos, moedas e tampinhas de bebidas.
Considerando estas informações, pode-se concluir que o número de participantes que fazem coleção exclusiva de um único item entre os três citados na lista é de:
•138 participaram do evento;
•74 colecionam selo;
•77 colecionam moedas;
•80 colecionam tampinhas de bebidas;
•9 colecionam outros tipos de itens;
•34 colecionam selos e moedas;
•35 colecionam moedas e tampinhas de bebidas;
•33 colecionam selos e tampinhas de bebidas;e,
•3colecionam selos, moedas e tampinhas de bebidas.
Considerando estas informações, pode-se concluir que o número de participantes que fazem coleção exclusiva de um único item entre os três citados na lista é de:
Provas
Questão presente nas seguintes provas
Reordenando as letras apresentadas a seguir forma-se uma palavra que é um(a):
U S Á R C T I R E O I
U S Á R C T I R E O I
Provas
Questão presente nas seguintes provas
Em uma urna existem 40 bolas numeradas de 1 a 40. Retirando-se aleatoriamente uma bola, a probabilidade de que
contenha um número ímpar ou múltiplo de 5 é:
Provas
Questão presente nas seguintes provas
Cadernos
Caderno Container