Magna Concursos

Foram encontradas 663 questões.

3446680 Ano: 2024
Disciplina: Matemática
Banca: Funatec
Orgão: Pref. Cururupu-MA

Assinale corretamente a assertiva que determina X de modo que (x, 2x + 1, 5x + 7) seja uma P.A.

 

Provas

Questão presente nas seguintes provas
3446679 Ano: 2024
Disciplina: Matemática
Banca: Funatec
Orgão: Pref. Cururupu-MA
Sabe-se que a hipotenusa de um triângulo retângulo mede 10 cm, e o raio do círculo inscrito mede 1 cm. Logo, o perímetro desse triângulo mede:
 

Provas

Questão presente nas seguintes provas
3446678 Ano: 2024
Disciplina: Matemática
Banca: Funatec
Orgão: Pref. Cururupu-MA
Assinale a assertiva que determina corretamente a medida do menor ângulo formado pelas bissetrizes externas correspondentes aos vértices B e C de um triângulo ABC, sabendo que o ângulo  tem 76°.
 

Provas

Questão presente nas seguintes provas
3446677 Ano: 2024
Disciplina: Matemática
Banca: Funatec
Orgão: Pref. Cururupu-MA

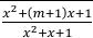
Se Enunciado 3446677-1 <2 ∀ x ∈ ℝ, então pode-se determinar que m é:

 

Provas

Questão presente nas seguintes provas
3446676 Ano: 2024
Disciplina: Matemática
Banca: Funatec
Orgão: Pref. Cururupu-MA

A seguinte inequação x4 - 5x2 + 4  ≥ 0, em  ℝ, possui o seguinte conjunto solução:

 

Provas

Questão presente nas seguintes provas
3446675 Ano: 2024
Disciplina: Matemática
Banca: Funatec
Orgão: Pref. Cururupu-MA

Assinale de forma correta a quantidade de divisores positivos que o número = 24 * 35 possui.

 

Provas

Questão presente nas seguintes provas
3446674 Ano: 2024
Disciplina: Matemática
Banca: Funatec
Orgão: Pref. Cururupu-MA
Uma pessoa está posicionada no ponto de origem de um sistema de coordenadas cartesianas com eixos Ox e Oy. Essa pessoa pode dar um passo por vez, movendo-se para o norte (N) ou para o leste (L). Assinale corretamente a quantidade de trajetórias diferentes que essa pessoa pode seguir, se der exatamente 6 passos.
 

Provas

Questão presente nas seguintes provas

Assinale a assertiva que apresenta a negação da seguinte proposição lógica:

“Ela é medalha de ouro ou ele é medalha de prata”

 

Provas

Questão presente nas seguintes provas

Observe a seguinte sequência lógica, e em seguida assinale o valor de X:

-1; X; 79; 254; 623

 

Provas

Questão presente nas seguintes provas
Uma loja organizará uma festa surpresa para todos seus colaboradores, e irá nomear 4 colaboradores entre os 20 possíveis para organizarem os detalhes mais importantes dessa festa surpresa. Assinale corretamente a assertiva que apresenta a quantidade de formas distintas que esses 4 colaboradores poderão ser escolhidos.
 

Provas

Questão presente nas seguintes provas