Foram encontradas 700 questões.
Faça a correta analogia

Provas
Qual dos itens abaixo representa uma medida essencial de primeiros socorros em caso de choque elétrico?
Provas
No contexto de instalações prediais, qual o papel do sistema de aterramento?
Provas
Qual o efeito de uma sobrecarga contínua em um transformador de distribuição?
Provas
Organize as seguintes palavras em uma sequência significativa.
1. Prato
2. Mercado
3. Cozinhar
4. Cortar
5. Vegetal
Provas
O que define a capacidade de um disjuntor em uma instalação elétrica?
Provas
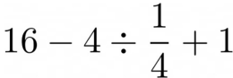
O valor resultante da seguinte expressão numérica é

Provas
Qual o principal motivo para o uso de chaves de partida suave em motores elétricos de grande porte?
Provas
Durante uma operação de manutenção em transformadores de alta tensão, qual equipamento de segurança é obrigatório para o técnico?
Provas
O que se entende por "cubículo elétrico" em uma instalação de média tensão?
Provas
Caderno Container