Foram encontradas 40 questões.

Provas
Considere as matrizes abaixo:

A forma quadrática associada à matriz A é dada por Q(x) = xT Ax onde xT é a transposta do vetor x. Calcule Q(x) e escolha a alternativa correta.
Provas
Provas
Provas
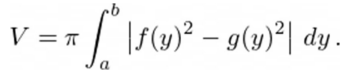
Determine o volume aproximado do sólido obtido pela rotação, em torno do eixo y, da região delimitada por y = √x, y = 3 e o eixo y.

Provas
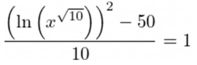
O valor real positivo que assume a raiz da equação logarítmica é

Provas
?Provas
Considere as seguintes afirmaçõesrelacionadas aos conceitos de equações dosegundo grau:
I. A equação do segundo grau é uma equaçãopolinomial que pode ser escrita na forma ax2 + bx + c = 0, onde a, b e c são constantesreais e a ≠ 0.
II. Para qualquer valor do discriminante Δ = b2 - 4ac, a equação do segundo grausempre possui duas raízes reais.
III. Se Δ > 0, a equação do segundo grau possui duas raízes reais e distintas.
IV. Se Δ = 0, a equação possui duas raízes reais iguais, que é chamada de raiz dupla.
V. O valor de indica o valor mínimo ou
máximo que a função quadrática assume,
dependendo do sinal de a. Sua fórmula é
.
Com base nas afirmações acima, escolha a alternativa correta:
Provas
I. O seno de um ângulo no triângulo retângulo é definido como a razão entre o cateto adjacente e a hipotenusa. II. O cosseno de 90° é igual a zero. III. A tangente do ângulo x é a razão entre o cosseno e o seno de x. IV. O valor de sen(2x) é sempre igual a sen(x)*cos(x) para qualquer x. V. Na geometria euclidiana, a soma dos ângulos internos de um triângulo sempre é igual a 180 graus.
Com base nas afirmações acima, escolha a alternativa correta:
Provas

Provas
Caderno Container