Foram encontradas 40 questões.
Disciplina: Segurança e Saúde no Trabalho (SST)
Banca: FUMARC
Orgão: Pref. Contagem-MG
- Saúde e Segurança no Ambiente de TrabalhoSegurança do Trabalho e Prevenção de InfortúniosIncêndioEquipamentos de Detecção e Combate a Incêndios
O gerente de uma loja deseja colocar um extintor de incêndio em seu escritório, onde ele e sua equipe irão trabalhar. A sala é composta por computadores, monitores de vídeo, mesas e aparelhos telefônicos. O tipo de sistema portátil de combate a incêndio mais adequado para equipar essa sala é:
Provas
Disciplina: Segurança e Saúde no Trabalho (SST)
Banca: FUMARC
Orgão: Pref. Contagem-MG
As afirmativas abaixo se referem ao conceito de acidente no trabalho. Todas as alternativas abaixo podem ser consideradas acidentes de trabalho, EXCETO:
Provas
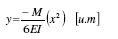
Uma barra de comprimento L tem uma de suas extremidades fixada rigidamente, enquanto a outra é submetida a um carregamento transversal, como mostra a figura: 
Provas
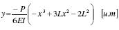
Três placas de um determinado material são unidas através de dois parafusos de diâmetros iguais, conforme o esquema abaixo:

A extremidade 1 é solicitada por uma carga estática F, enquanto as placas da extremidade 2 estão rigidamente fixas. O carregamento está igualmente distribuído entre os parafusos, que possuem raios iguais (r). Sabendo que a tensão de cisalhamento máxima do material é tadm, o MENOR diâmetro (dm) dos parafusos, para que não haja ruptura, será: Dado: u.m = unidade de medida
Provas
Disciplina: Desenho Técnico e Industrial
Banca: FUMARC
Orgão: Pref. Contagem-MG
A partir das vistas dadas, adote o 1º Diedro e selecione a alternativa que corresponde à projeção Isométrica.

Provas
Uma certa unidade de geração de vapor é constituída de um economizador, uma caldeira e um superaquecedor, como indicado no esquema abaixo:

Sabe-se que o calor útil no economizador, na caldeira e no superaquecedor valem, respectivamente: 40x106 kJ/h, 100x106 kJ/h e 50x106 kJ/h. O rendimento do sistema é de n = 0,80 e o combustível usado tem um PCI (poder calorífico inferior) de 9x103 kcal/kg. O consumo do combustível na unidade é de: (Observação: 1 kcal = 4 kJ)
Provas
Em determinado momento, a distribuição de temperatura em uma parede de 0,8 metros de largura pode ser descrita segundo a equação:

Há uma geração de calor uniforme (q'g) no interior da parede de 500 W/m3. Sabendo que a área da parede é de 5 m2 e que seu material possui uma condutividade térmica de 30 W/m.K, a taxa de variação da energia acumulada (E'ac) na parede é:
Provas
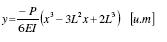
Um gás perfeito a uma determinada pressão P1 e um volume V1 está contido em um sistema cilindro-êmbolo. O sistema é aquecido, porém o deslocamento do êmbolo e o aumento de volume mantêm a temperatura do sistema constante. O volume e a pressão final do gás são, respectivamente, V2 e P2. O trabalho realizado pelo sistema será: Dado: u.m = unidade de medida
Provas
Considere um conjunto cilindro–pistão contendo um gás qualquer. O sistema sofre uma expansão, mudando do estado 1 para o estado 2, através de um processo quase-estático. Durante o processo de expansão do estado 1 para o estado 2, a relação entre o volume (em m3) e a pressão (em KPa) pode ser descrita segundo a equação abaixo:

em que as constantes x, y e z valem, respectivamente: Os volumes inicial (estado 1) e final (estado 2) do gás são, respectivamente, Vi = 2,0 m3 e Vf = 5,0 m3. O trabalho (W) realizado pelo sistema é de, aproximadamente:
Provas
A figura abaixo representa o diagrama temperatura – volume específico de uma determinada substância. Em relação ao ponto P, pode-se afirmar, EXCETO:

Provas
Caderno Container