Foram encontradas 70 questões.
3013764
Ano: 2023
Disciplina: Raciocínio Lógico
Banca: OBJETIVA
Orgão: Pref. Capela Santana-RS
Disciplina: Raciocínio Lógico
Banca: OBJETIVA
Orgão: Pref. Capela Santana-RS
Provas:
Suponha que um técnico tenha uma equipe de 7
jogadores de futebol (A, B, C, D, E, F e G) e precisa formar
um ataque com 3 jogadores. No entanto, existem algumas
restrições que devem ser consideradas ao formar esse
ataque:
• O jogador A e o jogador B não podem ser selecionados juntos no ataque.
• O jogador C deve fazer parte do ataque.
• O jogador D não pode ser selecionado para o ataque.
A tarefa dele é determinar quantas combinações únicas de ataques podem ser formadas, levando em consideração as restrições acima. Dessa forma, é CORRETO afirmar que:
• O jogador A e o jogador B não podem ser selecionados juntos no ataque.
• O jogador C deve fazer parte do ataque.
• O jogador D não pode ser selecionado para o ataque.
A tarefa dele é determinar quantas combinações únicas de ataques podem ser formadas, levando em consideração as restrições acima. Dessa forma, é CORRETO afirmar que:
Provas
Questão presente nas seguintes provas
Uma loja de roupas está oferecendo descontos
progressivos na compra de calças jeans. O desconto é
aplicado da seguinte forma: na compra de 2 calças, o
desconto é de 10%; na compra de 3 calças, o desconto é de
15%; na compra de 4 calças, o desconto é de 20%. O padrão
no acréscimo de desconto se mantém conforme o número
de calças compradas. Se um cliente compra 5 calças jeans,
qual será o percentual total de desconto que ele receberá?
Provas
Questão presente nas seguintes provas
Uma marca atualizou diversos produtos, em tamanhos
e/ou preços, de acordo com a conveniência do mercado. Um
dos produtos da marca é o doce de leite, cujo tamanho do
pote teve uma redução de 10%. Houve, também, um
acréscimo de 10% no preço do quilograma de doce de leite.
Sendo assim, é CORRETO afirmar que o preço de um pote de
doce de leite após a atualização:
Provas
Questão presente nas seguintes provas
A Polegada é uma unidade de medida de origem inglesa,
utilizada, principalmente, nos países colonizados pela
Inglaterra, como os Estados Unidos. Considera-se a
aproximação 1’’ (1 Polegada) = 2,54cm. No Brasil, utilizamos
a polegada para compararmos o tamanho da diagonal das
telas de TVs e celulares. Por exemplo, uma TV é dita com
40’’ se o tamanho de sua diagonal for igual a 40’’. Sendo
assim, é CORRETO afirmar que uma TV com 50’’ possui
diagonal medindo:
Provas
Questão presente nas seguintes provas
Em 25x — 6 = 512, o valor de x que expressa o valor para
tornar a equação verdadeira é:
Provas
Questão presente nas seguintes provas
Considerando-se a função g(x) abaixo, pode-se afirmar que o gráfico dessa função será dado por uma:
g(x) = −x² + 3x − 1
Provas
Questão presente nas seguintes provas
Sobre a equação polinomial do segundo grau
x² + 4x + 9 = 0, é CORRETO afirmar que:
Provas
Questão presente nas seguintes provas
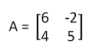
Considerando-se a matriz A abaixo, assinalar a
alternativa que apresenta o valor do determinante dessa
matriz:


Provas
Questão presente nas seguintes provas
Sabendo-se que o sexto termo de certa progressão
geométrica é igual a 972 e que o terceiro termo é igual a 36,
assinalar a alternativa que apresenta o valor da razão dessa
progressão:
Provas
Questão presente nas seguintes provas
Sabendo-se que o primeiro termo de certa progressão
aritmética é igual a 12 e que seu oitavo termo é igual a 40,
assinalar a alternativa que apresenta o resultado da soma
dos 10 primeiros termos dessa progressão:
Provas
Questão presente nas seguintes provas
Cadernos
Caderno Container