Foram encontradas 248 questões.
Seja a função f(x) = 2x – b. Qual é o valor de b, para que f –1 (4) = 5?
Provas
Questão presente nas seguintes provas
Sejam as funções f(x) = 2x +5 e gof(x) = 4x + 7. Qual é o valor de k, para que g(k) seja igual a 5?
Provas
Questão presente nas seguintes provas
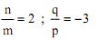
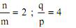
Sejam as funções y = mx + n e y = px + q, cujos gráficos estão representados a seguir:

Com base nos gráficos, marque a alternativa correta:

Com base nos gráficos, marque a alternativa correta:
Provas
Questão presente nas seguintes provas
Qual é o valor de k no gráfico a seguir, considerando que o mesmo é de uma função do 2º grau?


Provas
Questão presente nas seguintes provas
Seja A o conjunto solução da inequação
É correto afirmar que:
É correto afirmar que:Provas
Questão presente nas seguintes provas
Qual é o valor de k, para que a expressão
seja igual a 2?
seja igual a 2? Provas
Questão presente nas seguintes provas
Qual é a soma dos valores de x que verifica a equação 

Provas
Questão presente nas seguintes provas
Seja f(x) =
Para que valor de x, f(x) –1 = g(x) –1 ?
Para que valor de x, f(x) –1 = g(x) –1 ?Provas
Questão presente nas seguintes provas
Qual é o valor da base de uma função logarítmica, cujo gráfico está representado a seguir?


Provas
Questão presente nas seguintes provas
Uma curva apresenta arco de circunferência igual π/2 rad. Se o comprimento desse arco é de 10πm, então o raio dessa curva é igual a:
Provas
Questão presente nas seguintes provas
Cadernos
Caderno Container