Magna Concursos

Foram encontradas 307 questões.

3697591 Ano: 2025
Disciplina: Engenharia Civil
Banca: VUNESP
Orgão: Pref. Campinas-SP
Provas:

Para orçar a pintura de um metro quadrado de paredes internas de um edifício público, com tinta látex, um engenheiro utilizou a tabela de insumos unitários a seguir:

Insumo Unidade Quantidade Custo unitário (R$)
Pintor h 0,5 16,00
Ajudante de pintor h 0,4 10,00
Tinta látex acrílica L 0,3 20,00
Selador L 0,2 10,00
Lixa para parede unidade 0,5 2,00

Considerando os dados apresentados e os encargos sociais e trabalhistas de 125% e o BDI de 25%, o preço do serviço para pintura de 200 m2 de parede é

 

Provas

Questão presente nas seguintes provas
3697590 Ano: 2025
Disciplina: Engenharia Civil
Banca: VUNESP
Orgão: Pref. Campinas-SP
Provas:
Um dos requisitos para a elaboração de projetos usuais de redes de distribuição de água para abastecimento público é que as velocidades máximas de dimensionamento devem corresponder a uma perda de carga na rede de até
 

Provas

Questão presente nas seguintes provas
3697589 Ano: 2025
Disciplina: Engenharia Civil
Banca: VUNESP
Orgão: Pref. Campinas-SP
Provas:
No projeto de pavimentação urbana de uma via de grande circulação de veículos, optou-se pela utilização de base de solo-cimento. Para a correta execução dessa base, deve-se determinar o teor de umidade da mistura, imediatamente antes da compactação, a cada trecho com extensão de
 

Provas

Questão presente nas seguintes provas
3697588 Ano: 2025
Disciplina: Engenharia Civil
Banca: VUNESP
Orgão: Pref. Campinas-SP
Provas:
Na caracterização do hidrograma e do comportamento de uma bacia hidrográfica, o tempo transcorrido entre o início da precipitação e tempo em que a precipitação ocorrida já escoou através da seção principal, ou que o rio volta às condições anteriores da ocorrência da precipitação, é denominado tempo de
 

Provas

Questão presente nas seguintes provas
3697587 Ano: 2025
Disciplina: Engenharia Civil
Banca: VUNESP
Orgão: Pref. Campinas-SP
Provas:
Para o projeto de drenagem de águas pluviais em uma bacia hidrográfica, com área de 17,28 km2 , foi contratado um estudo pluviométrico que indicou que a precipitação média anual na região é 730 mm. Considerando que o coeficiente de escoamento superficial da bacia é 0,25, a vazão média de águas pluviais que escoará para um rio que intercepta a bacia é de
 

Provas

Questão presente nas seguintes provas
3697586 Ano: 2025
Disciplina: Engenharia Civil
Banca: VUNESP
Orgão: Pref. Campinas-SP
Provas:
Para a construção de uma edificação, optou-se pela produção de concreto em betoneira com traço em peso (1:2:3:0,6) e consumo de 350 kg de cimento por metro cúbico de concreto. Considerando que a areia utilizada possui massa unitária seca de 1200 kg/m3 e 20% de inchamento, o volume necessário dessa areia, para produzir um metro cúbico de concreto, é
 

Provas

Questão presente nas seguintes provas
3697585 Ano: 2025
Disciplina: Engenharia Civil
Banca: VUNESP
Orgão: Pref. Campinas-SP
Provas:

Para o planejamento da construção de uma edificação, com duração de 6 meses, um engenheiro elaborou o cronograma físico-financeiro a seguir, composto por 7 itens:

Item meses Custo (%)
1 2 3 4 5 6
1 100%           4
2 30% 70%         10
3   50% 50%       16
4     30% 30% 40%   40
5       50% 50%   12
6         80% 20% 15
7           100% 3

Considerando que o custo total da construção da obra é de R$ 100.000,00, o custo acumulado no final do quarto mês é de

 

Provas

Questão presente nas seguintes provas
3697584 Ano: 2025
Disciplina: Engenharia Civil
Banca: VUNESP
Orgão: Pref. Campinas-SP
Provas:
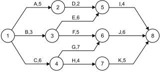
O planejamento da reforma de uma loja comercial seguiu o cronograma PERT-CPM da figura a seguir, no qual as atividades estão representadas por letras, seguidas de suas durações em dias:

Enunciado 4380061-1

O prazo de conclusão da reforma é de
 

Provas

Questão presente nas seguintes provas
3697583 Ano: 2025
Disciplina: Engenharia Civil
Banca: VUNESP
Orgão: Pref. Campinas-SP
Provas:
No projeto arquitetônico de um novo edifício da Administração Pública, com previsão de um fluxo médio de pessoas, a largura mínima dos corredores de uso público, assegurando uma faixa livre de barreiras ou obstáculos, é
 

Provas

Questão presente nas seguintes provas
3697582 Ano: 2025
Disciplina: Engenharia Civil
Banca: VUNESP
Orgão: Pref. Campinas-SP
Provas:
Para a construção de uma edificação, foi especificado que os revestimentos internos de paredes e tetos devem ser executados com a aplicação de gesso. Para atender às normas técnicas, o gesso que deve ser utilizado para esses revestimentos deve ter resistência mínima de aderência de
 

Provas

Questão presente nas seguintes provas