Magna Concursos

Foram encontradas 40 questões.

1743999 Ano: 2006
Disciplina: Matemática
Banca: IPAD
Orgão: Pref. Buíque-PE
Provas:

Para revestir o tampo de uma mesa circular com 60 centímetros de diâmetro é necessária certa quantidade de fórmica. Para revestir uma outra mesa de mesmo formato, mas com 1,2 metros de diâmetro, será necessário:

 

Provas

Questão presente nas seguintes provas
1743998 Ano: 2006
Disciplina: Matemática
Banca: IPAD
Orgão: Pref. Buíque-PE
Provas:

Uma mistura M1 é formada por 3 litros de tinta branca e 4 litros de tinta vermelha. Uma outra mistura M2 é formada por 4 litros de tinta branca e 5 litros de tinta vermelha. Nessas condições, podemos afirmar que:

 

Provas

Questão presente nas seguintes provas
1743997 Ano: 2006
Disciplina: Pedagogia
Banca: IPAD
Orgão: Pref. Buíque-PE
Provas:

Segundo os Parâmetros Curriculares para o Ensino Fundamental, a proporcionalidade apresenta fortes conexões com outras noções e conceitos da Matemática escolar. Das alternativas abaixo, segundo o documento, qual atividade não estaria relacionada ao trabalho com proporcionalidade?

 

Provas

Questão presente nas seguintes provas
1743996 Ano: 2006
Disciplina: Matemática
Banca: IPAD
Orgão: Pref. Buíque-PE
Provas:

Um enfeite, feito de arame, é formado por seis circunferências concêntricas, igualmente espaçadas. A menor circunferência tem raio igual a 1cm, e a maior tem raio igual a 3cm. O comprimento total de arame usado nesse enfeite é:

 

Provas

Questão presente nas seguintes provas
1743994 Ano: 2006
Disciplina: Matemática
Banca: IPAD
Orgão: Pref. Buíque-PE
Provas:

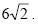
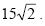
Sejam os pontos A(-3,+3), B(0,-6) e C(6,0), em um sistema de coordenadas cartesianas ortogonais. O comprimento da mediana relativa ao lado BC do triângulo ABC é:

 

Provas

Questão presente nas seguintes provas
1743993 Ano: 2006
Disciplina: Matemática
Banca: IPAD
Orgão: Pref. Buíque-PE
Provas:

Uma função polinomial do segundo grau () x f tem seus zeros nos pontos 1 = x e 5 = x e coeficiente do termo de maior grau unitário. Nessas condições podemos afirmar que:

 

Provas

Questão presente nas seguintes provas
1743992 Ano: 2006
Disciplina: Pedagogia
Banca: IPAD
Orgão: Pref. Buíque-PE
Provas:

Em relação aos conteúdos de Matemática a serem trabalhados no Ensino Médio, considere as seguintes recomendações:

1. O estudo das funções trigonométricas deve se ater às funções seno, cosseno e tangente.

2. Deve-se aprofundar o conhecimento dos alunos sobre números e operações.

3. É importante o trabalho com os números complexos desde que seja como uma ampliação dos conjuntos numéricos. De acordo com os Parâmetros Curriculares Nacionais para o Ensino Médio estariam corretas:

 

Provas

Questão presente nas seguintes provas
1743991 Ano: 2006
Disciplina: Matemática
Banca: IPAD
Orgão: Pref. Buíque-PE
Provas:

Para medir o comprimento de uma estante, Carlos encontrou 30 palmos. Para medir a mesma estante, Roberto encontrou 27 palmos. Nesse caso, podemos afirmar que 20 palmos de Carlos equivalem a:

 

Provas

Questão presente nas seguintes provas
1743990 Ano: 2006
Disciplina: Matemática
Banca: IPAD
Orgão: Pref. Buíque-PE
Provas:

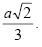
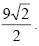
Uma pirâmide regular de base quadrada está inscrita em um cubo de aresta a , de tal modo que a base da pirâmide coincide com uma das faces do cubo, e o vértice da pirâmide, com o centro da face oposta desse cubo. Nessas condições podemos dizer que a aresta lateral da pirâmide mede:

 

Provas

Questão presente nas seguintes provas
1743989 Ano: 2006
Disciplina: Matemática
Banca: IPAD
Orgão: Pref. Buíque-PE
Provas:

Na reta final de uma corrida verificou-se, em determinado instante, que a distância entre os dois corredores que lideravam a corrida era de 2,5m, e que a distância do segundo colocado até a linha de chegada era 10% a mais que a distância do primeiro colocado até a linha de chegada. Nessas condições podemos dizer que a soma das distâncias dos dois corredores até a linha de chegada é igual a:

 

Provas

Questão presente nas seguintes provas