Magna Concursos

Foram encontradas 102 questões.

2017868 Ano: 2020
Disciplina: Matemática
Banca: FAUEL
Orgão: Pref. Bom Jesus do Sul-PR
Provas:
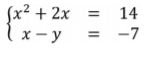
Assinale a alternativa que contém uma raiz possível do sistema a seguir:
enunciado 1220489-1
Questão Anulada

Provas

Questão presente nas seguintes provas
2017867 Ano: 2020
Disciplina: Matemática
Banca: FAUEL
Orgão: Pref. Bom Jesus do Sul-PR
Provas:

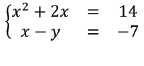
Assinale a alternativa que contém uma raiz possível do sistema a seguir:

enunciado 1220488-1

Questão Anulada

Provas

Questão presente nas seguintes provas