Foram encontradas 880 questões.
Um farmacêutico, responsável técnico de uma farmácia
hospitalar, recebeu a solicitação de um médico para orientação
acerca do uso de anti-histamínicos em um paciente idoso que
apresenta rinite alérgica hipertrofia prostática benigna e
glaucoma de ângulo fechado.
A partir dessa situação hipotética, com base no mecanismo de ação dos anti-histamínicos, suas propriedades anticolinérgicas, e seus possíveis efeitos adversos, assinale a opção que corresponde à recomendação mais apropriada para o caso clínico em apreço.
A partir dessa situação hipotética, com base no mecanismo de ação dos anti-histamínicos, suas propriedades anticolinérgicas, e seus possíveis efeitos adversos, assinale a opção que corresponde à recomendação mais apropriada para o caso clínico em apreço.
Provas
Questão presente nas seguintes provas
Um paciente com insônia crônica está em uso de
diazepam
(benzodiazepínico),
e
apresentou
efeito
sedativo-hipnótico. Após internação hospitalar, na qual recebeu
flumazenil, o paciente apresentou melhora do nível de
consciência e redução da sonolência.
Com base na situação hipotética precedente, é correto afirmar que o antagonismo no caso apresentado é do tipo
Com base na situação hipotética precedente, é correto afirmar que o antagonismo no caso apresentado é do tipo
Provas
Questão presente nas seguintes provas
Um paciente esquizofrênico utiliza haloperidol
(neuroléptico típico, antagonista dopaminérgico D2). Após
episódio de agitação psicomotora intensa, a equipe médica
associou
lorazepam
(benzodiazepínico)
esquema.
A administração do lorazepam promoveu redução significativa da
ansiedade e do comportamento agressivo.
Na situação hipotética precedente, a associação farmacológica entre haloperidol e lorazepam é do tipo
Na situação hipotética precedente, a associação farmacológica entre haloperidol e lorazepam é do tipo
Provas
Questão presente nas seguintes provas

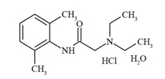
Internet: https://nortecquimica.com.br/ifa
A figura precedente apresenta a estrutura molecular do cloridrato de lidocaína monoidratado. Esta substância
Provas
Questão presente nas seguintes provas
O cloridrato de propranolol é disponibilizado em comprimidos ou
solução oral, sendo indicado no tratamento de distúrbios
cardiovasculares. Após administração oral, o cloridrato de
propranolol sofre extenso metabolismo hepático de
primeira passagem. Acerca desse medicamento, assinale a opção
correta.
Provas
Questão presente nas seguintes provas
O cloridrato de sertralina encontra-se disponível para
administração via oral em formulações de 25 mg a 100 mg.
Corresponde a um medicamento de amplo índice terapêutico,
cuja posologia usualmente preconizada é de 50 mg/dia a
200 mg/dia. Acerca da farmacodinâmica desse antidepressivo,
assinale a opção correta.
Provas
Questão presente nas seguintes provas
As drogas de abuso compartilham um mecanismo comum
relacionado ao sistema de recompensa do cérebro. A esse
respeito, assinale a opção correta.
Provas
Questão presente nas seguintes provas
Para avaliação do mecanismo de ação, da toxicidade e da cinética
de fármacos, são utilizados métodos fisiológicos que simulam
condições biológicas ou, alternativamente, condições reais.
Considerando os métodos fisiológicos aplicados à farmacologia,
assinale a opção em que é apresentado um método invasivo.
Provas
Questão presente nas seguintes provas
Com relação a formas farmacêuticas líquidas, assinale a opção
correta.
Provas
Questão presente nas seguintes provas
H3C−CH2−O−CH2−CH3
O composto representado pela fórmula estrutural precedente corresponde
Provas
Questão presente nas seguintes provas
Cadernos
Caderno Container